Press Release
Open Access

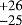
Table 2

Mid-times of the upcoming possible transits of the new transit candidate (KOI-456.04) around Kepler-160.

Transit mid-point (BKJD) Transit mid-point (UTC) Begin of ingress (UTC) End of egress (UTC)
4273.96 d 14.09.2020, 11:06 14.09.2020, 04:40 ± 16 h 14.09.2020, 17:32 ± 17 h
       
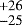
4652.38 d 27.09.2021, 21:10 ± 18 h 27.09.2021, 14:44 ± 18 h 28.09.2021, 03:35
       
5030.80 d 11.10.2022, 07:14 ± 20 h 11.10.2022, 00:47 ± 20 h 11.10.2022, 13:39
       
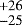
5409.22 d 24.10.2023, 17:17 ± 22 h 24.10.2023, 10:51 24.10.2023, 23:42 ± 22 h
       
d 06.11.2024, 03:21 h 05.11.2024, 20:54 h 06.11.2024, 09:46 ± 24 h
       
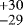
d 19.11.2025, 13:24 h 19.11.2025, 06:58 h 19.11.2025, 19:49 h
       
d 02.12.2026, 23:28 h 02.12.2026, 17:02 ± 27 h 03.12.2026, 05:53 h
       
d 16.12.2027, 09:31 ± 29 h 16.12.2027, 03:05 ± 29 h 16.12.2027, 15:56 h
       
d 28.12.2028, 19:34 ± 31 h 28.12.2028, 13:08 h 29.12.2028, 02:00 h

Notes. Values are the median and 3 σ uncertainties from the posterior samples of our MCMC fitting procedure to the Kepler PDCSAP detrended light curve. All times are corrected for light travel time between Earth and the Solar System barycenter.

Current usage metrics show cumulative count of Article Views (full-text article views including HTML views, PDF and ePub downloads, according to the available data) and Abstracts Views on Vision4Press platform.

Data correspond to usage on the plateform after 2015. The current usage metrics is available 48-96 hours after online publication and is updated daily on week days.

Initial download of the metrics may take a while.