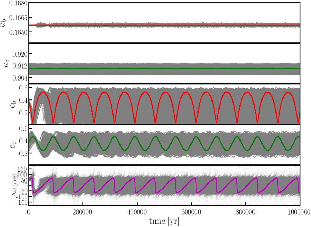
Fig. 5

Orbital evolution of the GJ 1148 system for a Myr long N-body integration using the Wisdom-Holman scheme. From top to bottom: evolution of the planetary semi-major axes, eccentricities, and the apsidal alignment angle Δω = ϖb − ϖc. The gray area is composed of 1000 randomly chosen stable configurations from the MCMC run, which represent the possible orbital outcome consistent with the RV data. The solid color curves show the evolution of the best-fit configuration.
Current usage metrics show cumulative count of Article Views (full-text article views including HTML views, PDF and ePub downloads, according to the available data) and Abstracts Views on Vision4Press platform.
Data correspond to usage on the plateform after 2015. The current usage metrics is available 48-96 hours after online publication and is updated daily on week days.
Initial download of the metrics may take a while.