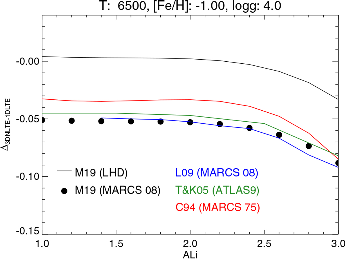
Fig. 15

Comparison between our 1D NLTE A(Li) corrections with the other authors for the model with Teff=6500 K, log g =4.0 and [Fe∕H] = −1.0. Our original corrections (M19, black solid line) have been shifted down (M19, black dots) by 0.055 as found by Harutyunyan et al. (2018) to account for the difference between LHD and MARCS model atmospheres. The version of the models adopted by the different authors are indicated in the legend.
Current usage metrics show cumulative count of Article Views (full-text article views including HTML views, PDF and ePub downloads, according to the available data) and Abstracts Views on Vision4Press platform.
Data correspond to usage on the plateform after 2015. The current usage metrics is available 48-96 hours after online publication and is updated daily on week days.
Initial download of the metrics may take a while.