Free Access
Fig. 9

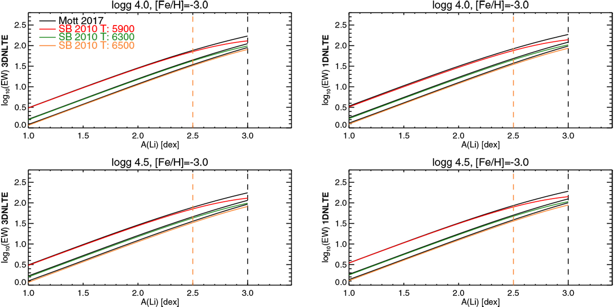
Same as Fig. 8 but for [Fe∕H] = − 3.0, log g = 4.0 and 4.5. In this case,the upper limits to which the fitting function by Sbordone et al. (2010) is safely applicable coincides with A(Li) = 2.5 for all temperatures (vertical dashed orange line). Our fitting function is valid up to A(Li) = 3.0 (vertical dashed black line).
Current usage metrics show cumulative count of Article Views (full-text article views including HTML views, PDF and ePub downloads, according to the available data) and Abstracts Views on Vision4Press platform.
Data correspond to usage on the plateform after 2015. The current usage metrics is available 48-96 hours after online publication and is updated daily on week days.
Initial download of the metrics may take a while.