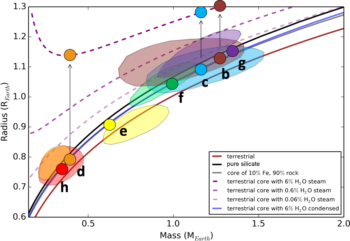
Fig. 3

Example of a scenario for TRAPPIST-1 planets where masses and radii follow an interior isocomposition line (gray line; 10% Fe, 90% MgSiO3 composition) chosen to be consistent with 2σ uncertainty ellipses of Grimm et al. (2018). While the seven large ellipses indicate the known current estimates (95% confidence) for the masses and radii of the seven TRAPPIST-1 planets, the seven small circles indicate the positions (in the mass, radius diagram) of the seven planets as speculated in our scenario. Each planet (associated with a current uncertainty ellipse, and a speculated position) is identified by a distinct color. This figure also shows mass-radius relationships for terrestrial core planets, in some cases endowed with either a condensed layer of water (solid blue line) or a steam H2O atmosphere of various masses (dashed purple lines). The mass-radius relationships for steam planets can be built following the procedure described in Appendix D. We note that the mass-radius relationships for steam H2O-rich atmosphere planets can slightly change depending on the level of stellar irradiation they receive. However, because these changes are low (for the levels of irradiation on TRAPPIST-1 b, c, and d) compared to the runaway-greenhouse-transition-induced mass-radius relationship change, we decided no to show them for clarity.
Current usage metrics show cumulative count of Article Views (full-text article views including HTML views, PDF and ePub downloads, according to the available data) and Abstracts Views on Vision4Press platform.
Data correspond to usage on the plateform after 2015. The current usage metrics is available 48-96 hours after online publication and is updated daily on week days.
Initial download of the metrics may take a while.