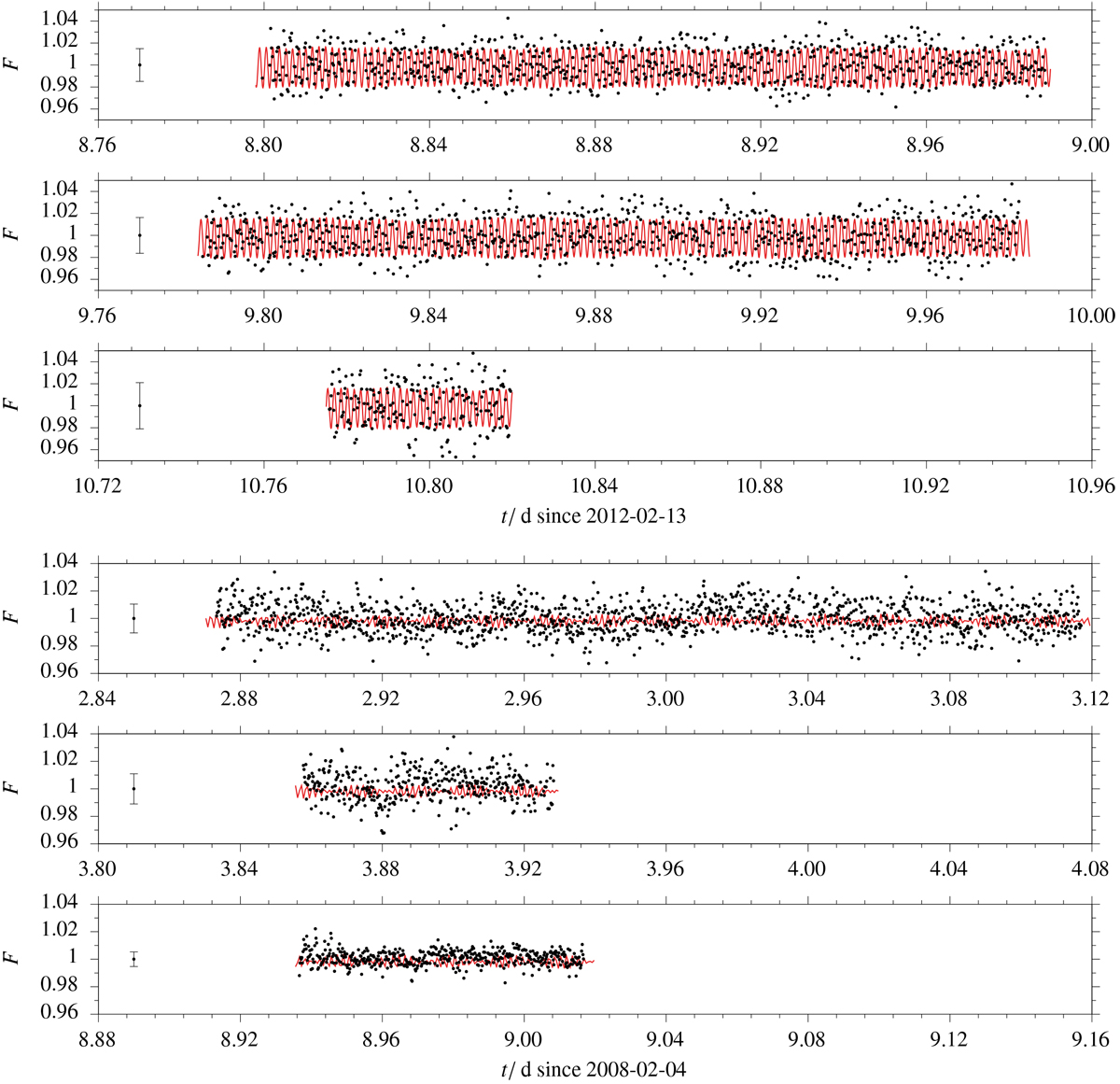
Fig. 5

Example observations of QQ Vir from February 20, 21, and 22, 2012 at the Monet telescope (top three panels), and V541 Hya from February 6, 7, and 12, 2008 at the SAAO (bottom three panels), combined used as one O–C measurement each. The error bar on the left of each plot represents the photometric uncertainty. The red line shows the simultaneous three and two frequency fit to the epoch data, repsectively.
Current usage metrics show cumulative count of Article Views (full-text article views including HTML views, PDF and ePub downloads, according to the available data) and Abstracts Views on Vision4Press platform.
Data correspond to usage on the plateform after 2015. The current usage metrics is available 48-96 hours after online publication and is updated daily on week days.
Initial download of the metrics may take a while.