Free Access

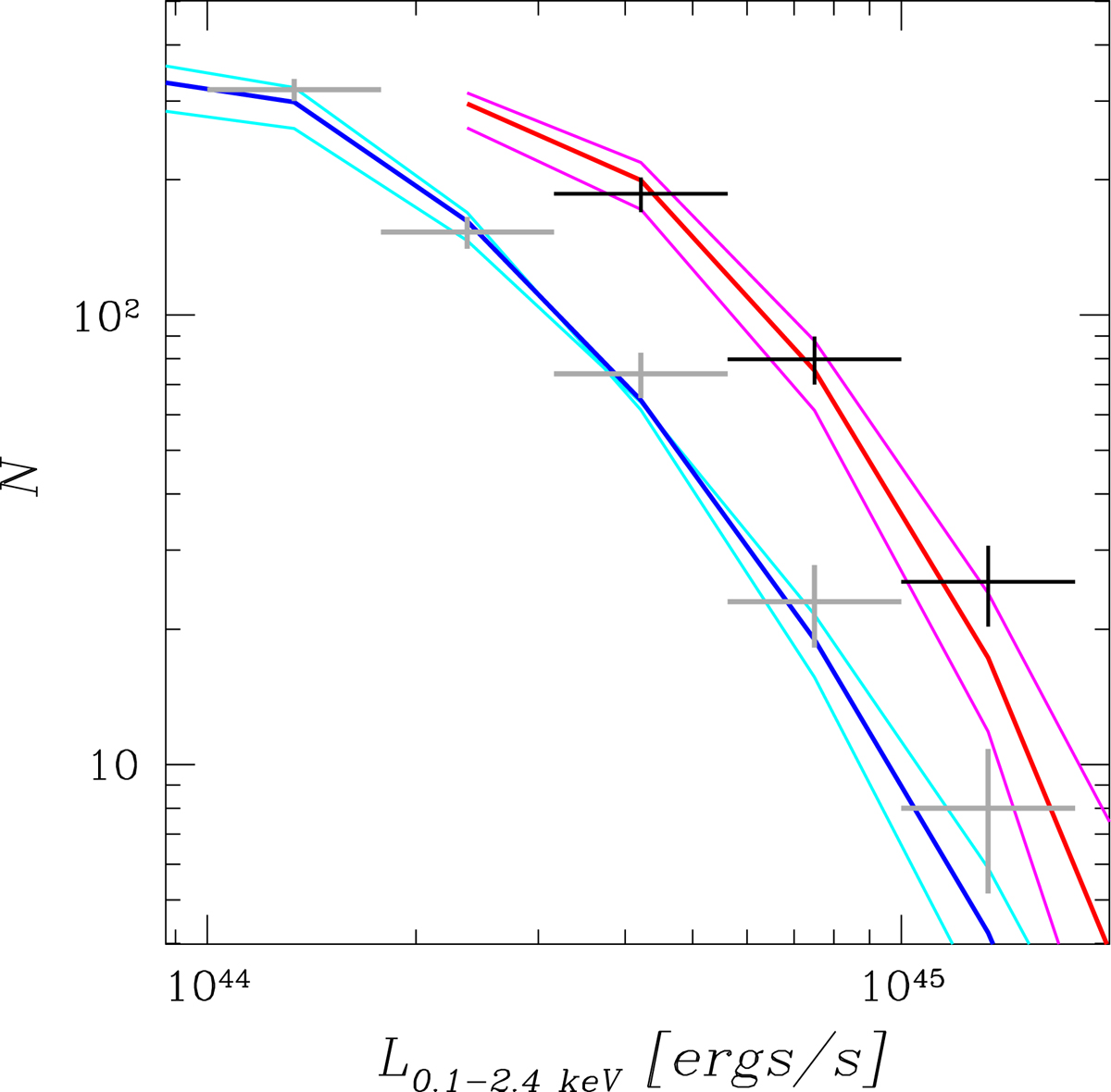
Fig. 10.

image

Number of CODEX clusters in the redshift range 0.1–0.3 (gray) and 0.3–0.6 (black), compared to the allowed range of ΛCDM cosmological parameters. Low-z solutions are shown in blue (best fit) and cyan (extremes of 95% confidence interval), high-z – in red (best fit) and magenta (extremes of 95% confidence interval). The numbers are corrected for the expected AGN contamination and luminosity is a mix of corrected and uncorrected values for high and low statistics subsample.

Current usage metrics show cumulative count of Article Views (full-text article views including HTML views, PDF and ePub downloads, according to the available data) and Abstracts Views on Vision4Press platform.

Data correspond to usage on the plateform after 2015. The current usage metrics is available 48-96 hours after online publication and is updated daily on week days.

Initial download of the metrics may take a while.