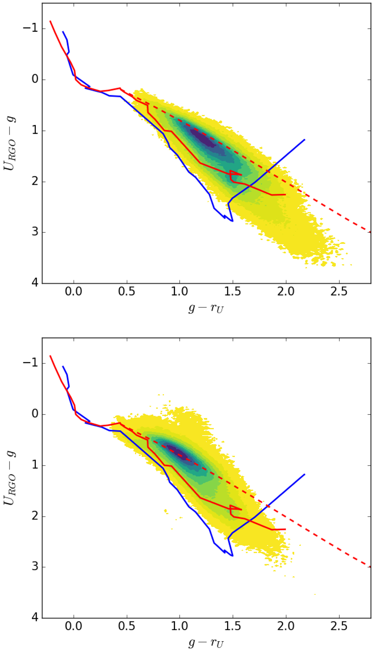
Fig. 16.

URGO − g vs. g − r diagram for the regions 80° < l < 85° (top) and 185° < l < 190° (bottom). The density of sources is portrayed by the contoured colour scale. Sources with g < 20 and errBits = 0 are included. The solid line in red in both is the unreddened main sequence, while the dashed line is the reddening line for an F5V star extended up to AV = 10. The blue line represents the giants. Numerical detail on the tracks is provided in Appendix D. Top panel: example of a region in which the pipeline calibration has produced a uniform outcome, lower panel: instance of where it is clear that there is some variation in the URGO photometric scale.
Current usage metrics show cumulative count of Article Views (full-text article views including HTML views, PDF and ePub downloads, according to the available data) and Abstracts Views on Vision4Press platform.
Data correspond to usage on the plateform after 2015. The current usage metrics is available 48-96 hours after online publication and is updated daily on week days.
Initial download of the metrics may take a while.