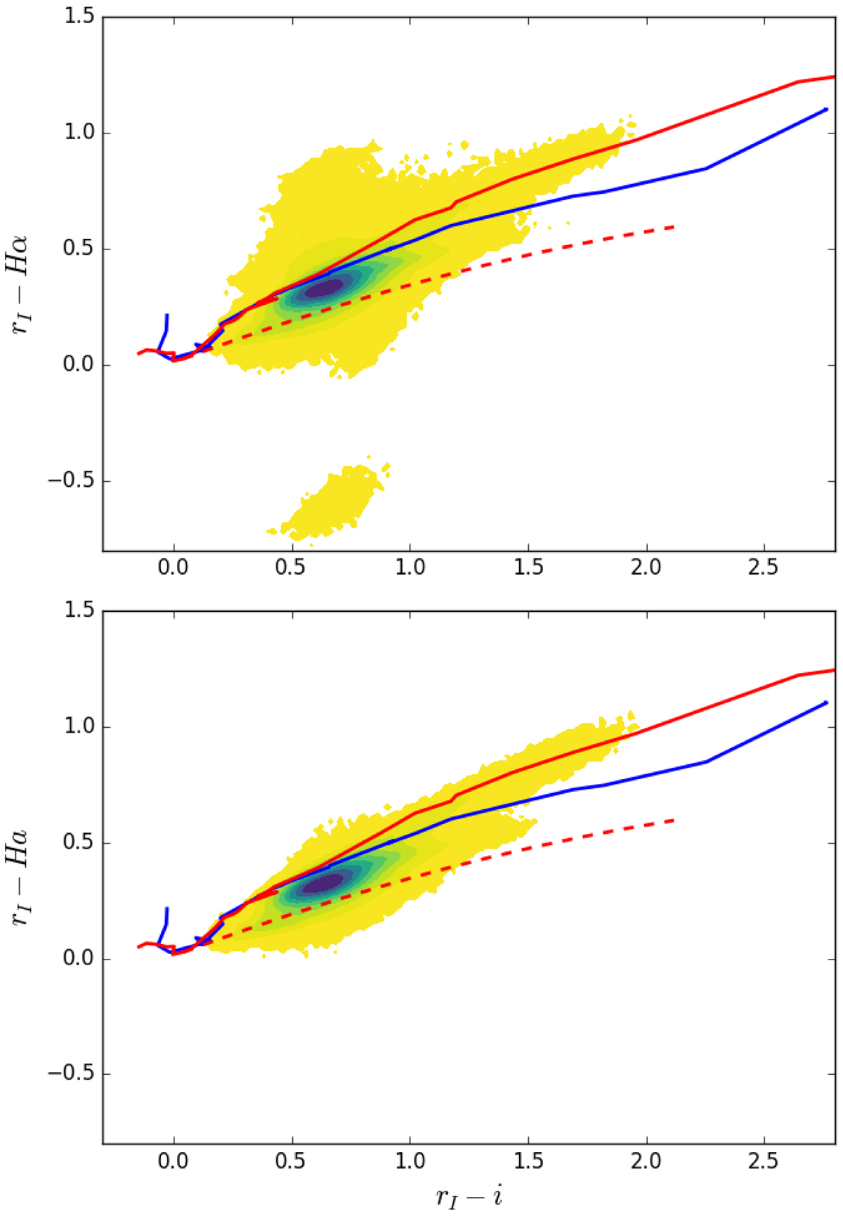
Fig. 8.

r − Hα vs. r − i diagrams for the region 165° < l < 170° before (top) and after (bottom) the Glazebrook calibration, using sources with rI < 19 mag and errBits = 0. Lines indicate the expected sequences: unreddened main sequence in red, giants sequence in blue, and reddening line for an A2V star up to AV = 10 in dashed red. See Appendix D for photometric colour tables. As explained by Drew et al. (2005) and Sale et al. (2009), the elongation of the main stellar locus is due to the combined effects of interstellar extinction and intrinsic colour. The false colour scale indicates density of sources in each bin on a square root scale with yellow representing the lowest density of at least four sources per 0.02 × 0.02 mag2 bin.
Current usage metrics show cumulative count of Article Views (full-text article views including HTML views, PDF and ePub downloads, according to the available data) and Abstracts Views on Vision4Press platform.
Data correspond to usage on the plateform after 2015. The current usage metrics is available 48-96 hours after online publication and is updated daily on week days.
Initial download of the metrics may take a while.