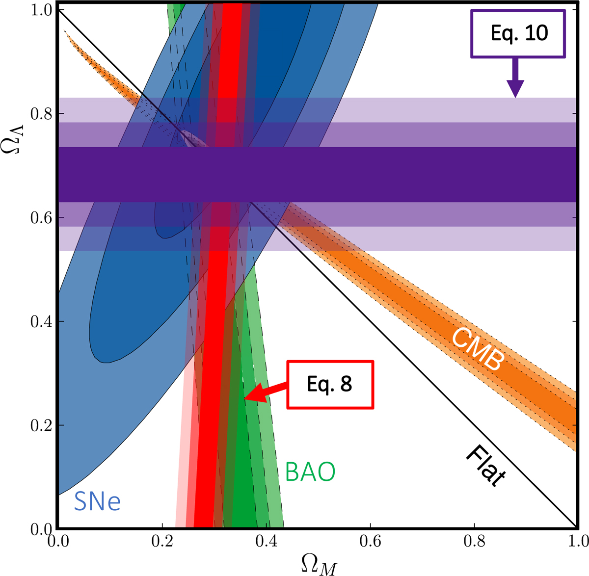
Fig. 2.

Constraints on Ωm, 0 and ΩΛ, 0 from the cosmic microwave background (CMB, orange contours, WMAP, Komatsu et al. 2011), supernovae (blue contours, Union 2 SN Ia compilation, Amanullah et al. 2010), and baryon acoustic oscillations (green contours, SDSS, Eisenstein et al. 2005; from Amanullah et al. 2010, Fig. 10). The red and purple contours correspond to projected 1, 2, and 3σ constraints implied by Eqs. (8) and (10), respectively, using a presumed high-accuracy measurement of the evolution of Ωta at the low-redshift Universe (∼42 000 galaxy clusters at z ≤ 0.3, with an individual-cluster Ωta uncertainty of 50%, see Sect. 3), yielding a 1.5% accuracy estimate of Ωta0 and a 3.5% estimate of dΩta/dz|0. We have assumed that Ωta evolves with z as predicted by flat Ωm, 0 = 0.315, ΛCDM cosmology. At this level of accuracy, ΩΛ, 0 > 0 could be established at a 14σ confidence level from the turnaround density data alone.
Current usage metrics show cumulative count of Article Views (full-text article views including HTML views, PDF and ePub downloads, according to the available data) and Abstracts Views on Vision4Press platform.
Data correspond to usage on the plateform after 2015. The current usage metrics is available 48-96 hours after online publication and is updated daily on week days.
Initial download of the metrics may take a while.