Free Access

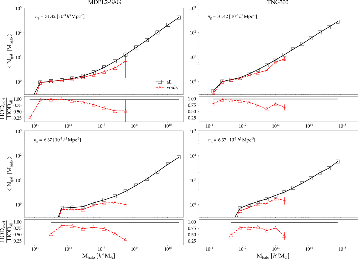
Fig. A.4.

image

HOD in MDPL2-SAG (left) and TNG300 (right) catalogues for two thresholds of number density of galaxies, ng = 31.42 × 10−3h3 Mpc−3 (top panels) and ng = 6.37 × 10−3h3 Mpc−3 (bottom panels). Black solid lines represent the overall HOD, meanwhile red dashed lines represent the HOD measured inside the voids. For each number density and catalogue, the ratio between both HODs are shown at the bottom of each panel. Quoted uncertainties were calculated through the standard jackknife procedure.

Current usage metrics show cumulative count of Article Views (full-text article views including HTML views, PDF and ePub downloads, according to the available data) and Abstracts Views on Vision4Press platform.

Data correspond to usage on the plateform after 2015. The current usage metrics is available 48-96 hours after online publication and is updated daily on week days.

Initial download of the metrics may take a while.