Free Access

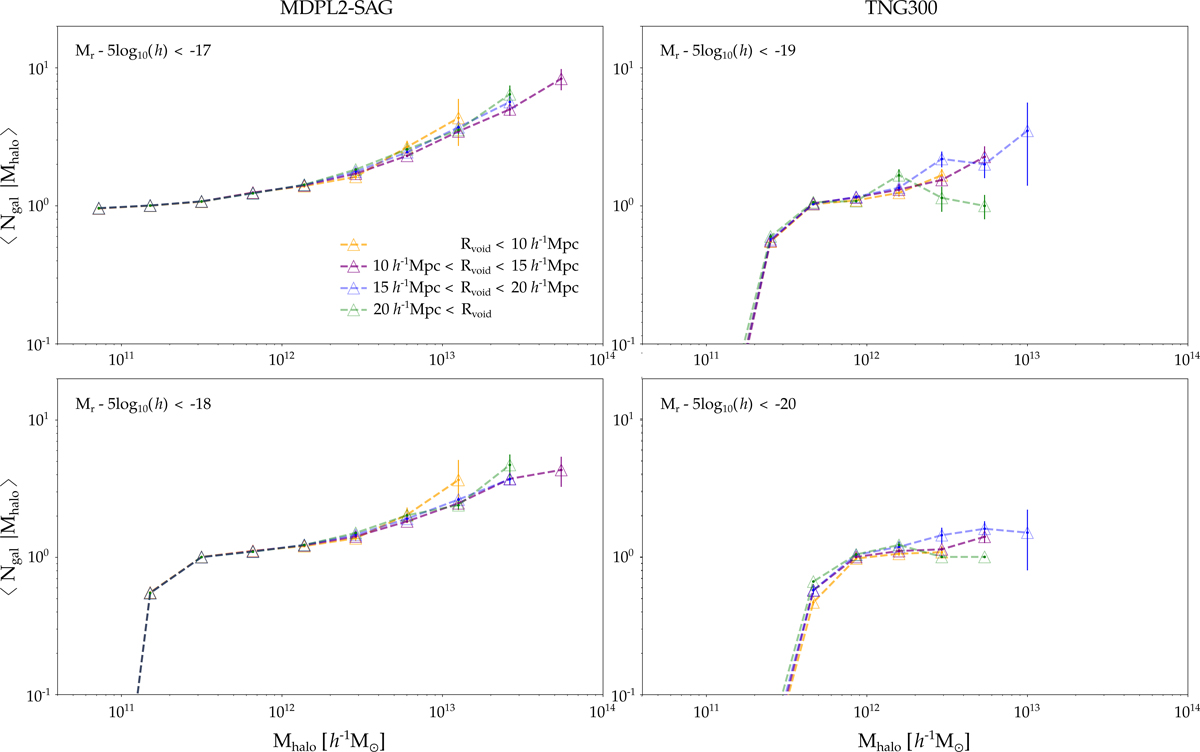
Fig. 4.

image

HOD in MDPL2-SAG and TNG300 catalogues for different void radii. Left column: results for MDPL2-SAG and right column: TNG300 catalogue, for Rvoid <  10 h−1 Mpc (orange), 10 h−1 Mpc < Rvoid <  15 h−1 Mpc (purple), 15 h−1 Mpc < Rvoid <  20 h−1 Mpc (blue), and 20 h−1 Mpc < Rvoid (green). Each panel corresponds to a different magnitude limit Mr − 5 log10(h) ranging from −17 to −20. The uncertainties are calculated following the standard jackknife procedure.

Current usage metrics show cumulative count of Article Views (full-text article views including HTML views, PDF and ePub downloads, according to the available data) and Abstracts Views on Vision4Press platform.

Data correspond to usage on the plateform after 2015. The current usage metrics is available 48-96 hours after online publication and is updated daily on week days.

Initial download of the metrics may take a while.