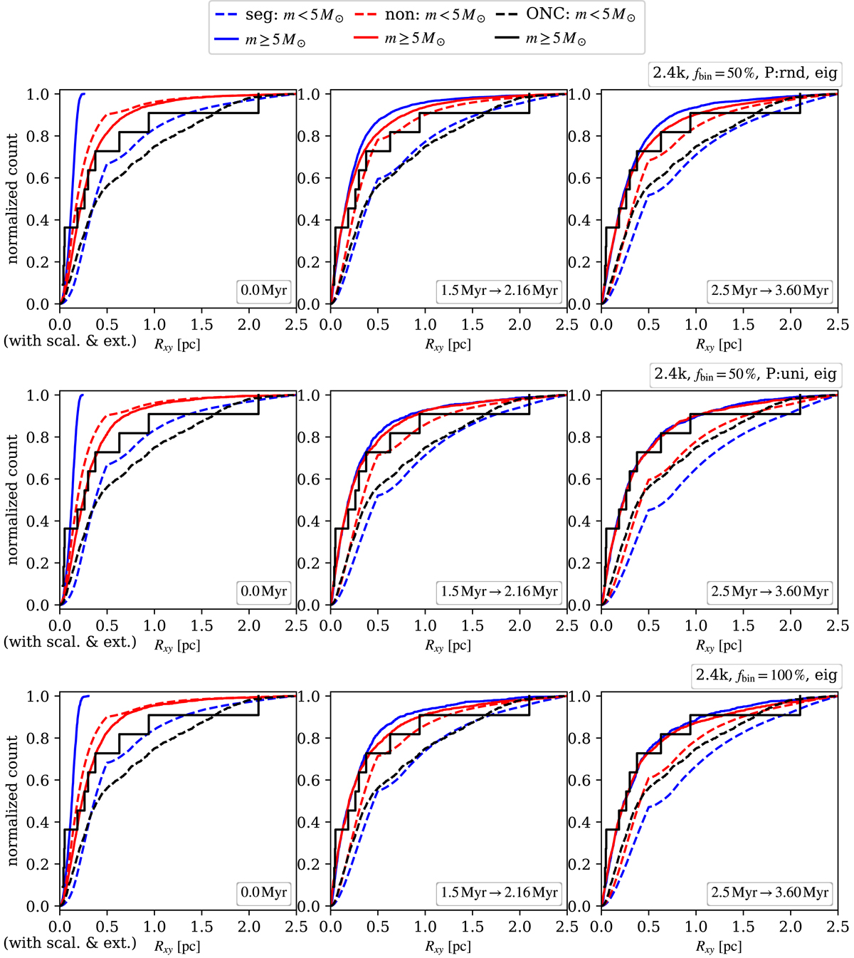
Fig. 5.

Comparison of average radial profiles of the projected models of segregated (blue) and non-segregated clusters (red) with the real ONC (black). Only the models with pre-main sequence eigenevolution are plotted. Three time frames are shown, and two mass groups are compared in each model (m ≥ 5 M⊙ with a solid line and m < 5 M⊙ with a dashed line). The p-values for these groups are plotted in Fig. 6. All three models are modified by artificial extinction and scaling of the low-mass stars along the y-axis, as discussed in Paper I.
Current usage metrics show cumulative count of Article Views (full-text article views including HTML views, PDF and ePub downloads, according to the available data) and Abstracts Views on Vision4Press platform.
Data correspond to usage on the plateform after 2015. The current usage metrics is available 48-96 hours after online publication and is updated daily on week days.
Initial download of the metrics may take a while.