Free Access

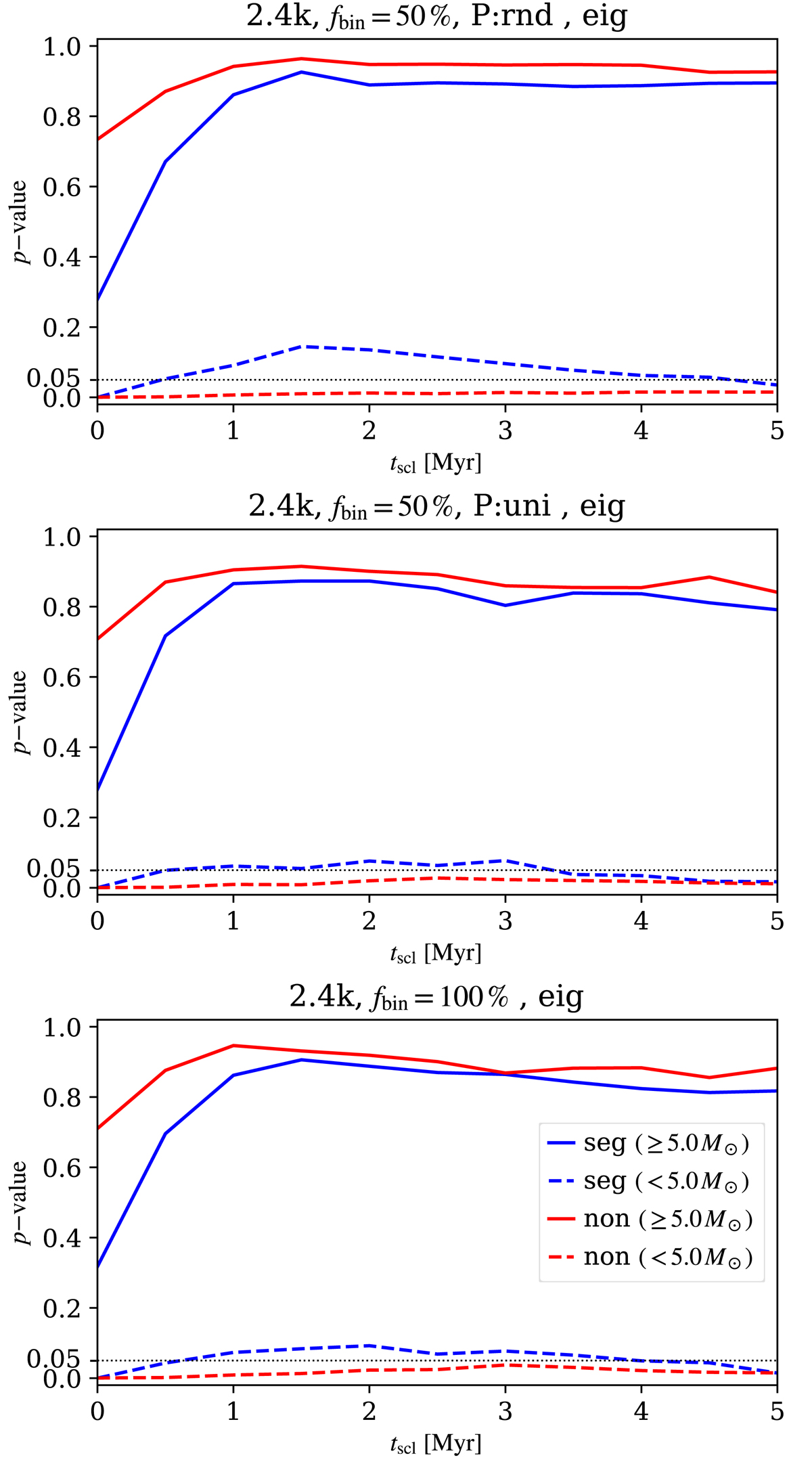
Fig. 6.

image

Results of KS test between the ONC data and models with 50% binaries (top and middle panels) and with 100% binaries (bottom panel). Only models with scaling and extinction are shown, thus, the time is also in scaled units.

Current usage metrics show cumulative count of Article Views (full-text article views including HTML views, PDF and ePub downloads, according to the available data) and Abstracts Views on Vision4Press platform.

Data correspond to usage on the plateform after 2015. The current usage metrics is available 48-96 hours after online publication and is updated daily on week days.

Initial download of the metrics may take a while.