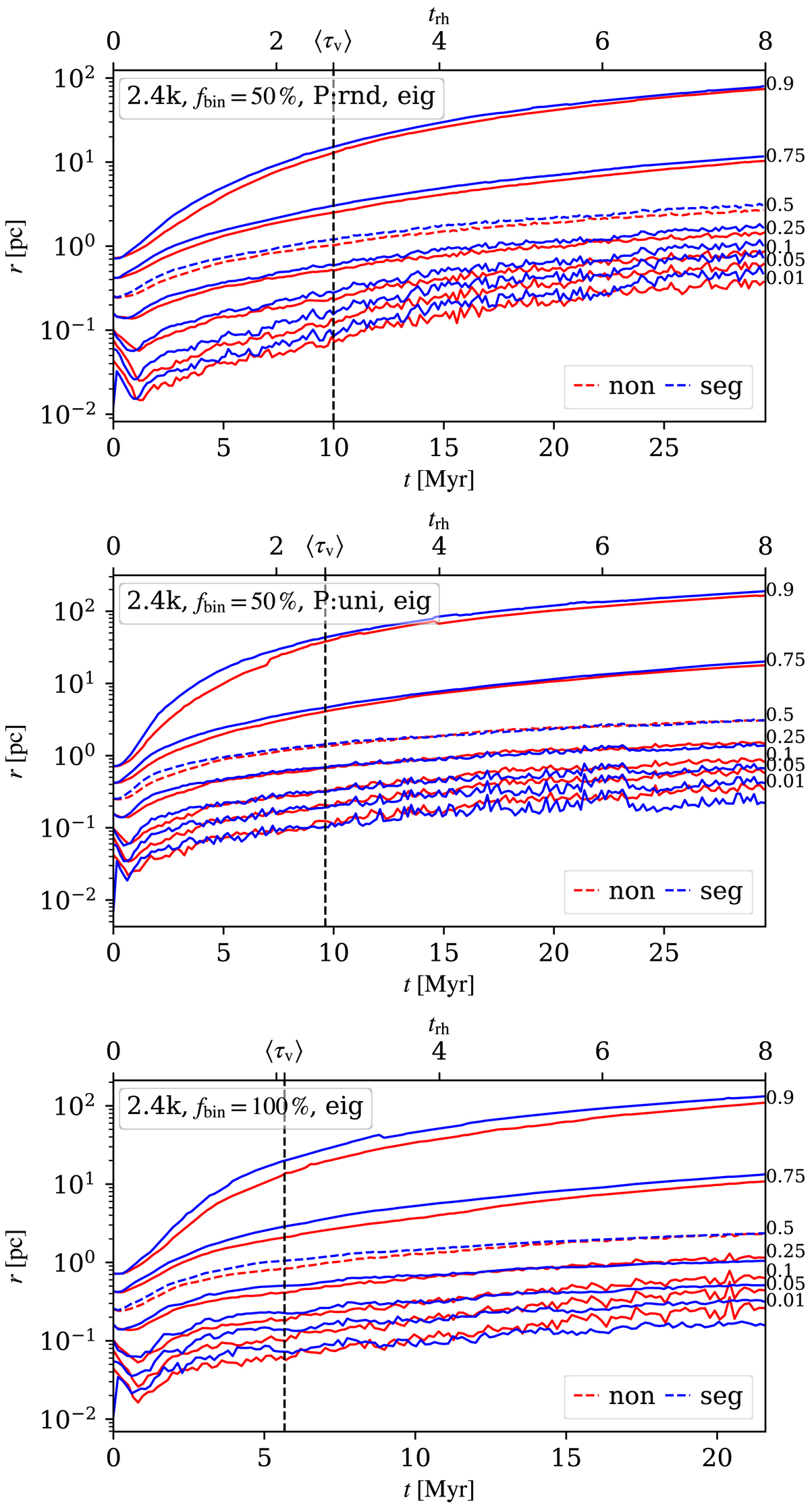
Fig. A.2.

Evolution of Lagrangian radii in presented models with eigenevolution. The Lagrangian radii are defined as the radii of concentric spheres containing fixed mass fractions (printed to the right of each curve), where the core is identified as the cluster’s density centre (cf. Casertano & Hut 1985; Aarseth 2003). The mean value ⟨τv⟩ of each model is plotted by a dashed vertical line for reference.
Current usage metrics show cumulative count of Article Views (full-text article views including HTML views, PDF and ePub downloads, according to the available data) and Abstracts Views on Vision4Press platform.
Data correspond to usage on the plateform after 2015. The current usage metrics is available 48-96 hours after online publication and is updated daily on week days.
Initial download of the metrics may take a while.