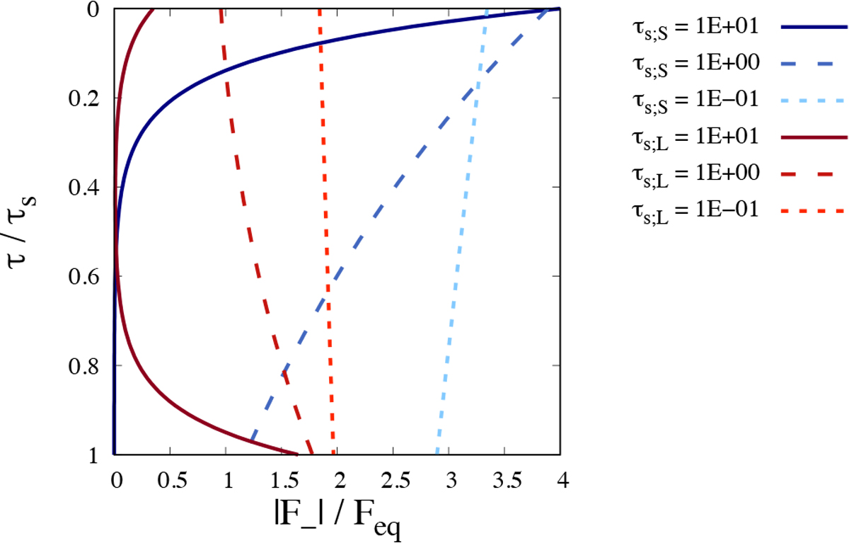
Fig. 3

Net radiative fluxes in the short- and longwave (horizontal axis) as functions of optical depths (vertical axis) in case of isothermal atmosphere. Fluxes profiles are computed from the analytic formulae given by Eqs. (22) and (23) and normalised by the black body equilibrium flux
(the equilibrium temperature Teq
being givenby Eq. (2)). Optical depths are normalised by their value at the planet’s surface, namely
τs;S for the shortwave and τs;L
for the longwave. Shortwave (blue lines) and longwave (red lines) net fluxes are plotted for various optical thicknesses, the optical depths at the planet’s surface taking the values
τs;S = 0.1, 1, 10 (from light to dark blue lines) and τs;L = 0.1, 1, 10 (from light to dark red lines). Pure absorption is assumed (βL0 = βS0 = 1). The incident, atmospheric, and surface fluxes are arbitrarily set to Fi = 4Feq,
Fa = 0.7Feq, and Fs = 2Feq, respectively.
Current usage metrics show cumulative count of Article Views (full-text article views including HTML views, PDF and ePub downloads, according to the available data) and Abstracts Views on Vision4Press platform.
Data correspond to usage on the plateform after 2015. The current usage metrics is available 48-96 hours after online publication and is updated daily on week days.
Initial download of the metrics may take a while.