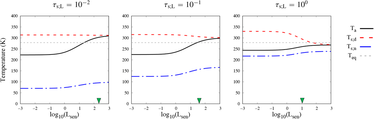
Fig. 6

Atmospheric, dayside and nightside surface temperatures as functions of logarithm of control parameter Lsen. Left: τs;L = 0.01 (quasi-transparent). Middle: τs;L = 0.1 (small optical thickness). Right: τs;L = 1 (Earth-like optical thickness). In all cases, the atmosphere is quasi-transparent in the shortwave (τs;S =10−4), pure absorption is assumed (βL0 = βS0 = 1), As = 0.2, and F⋆ = 1366 W m−2. The atmospheric temperature is designated by the solid black line, the dayside surface temperature by the dashed red line, the nightside surface temperature by the dotted blue line, and the black body equilibrium temperature (Eq. (2)) by the dotted grey line. The value of Lsen for a 1-bar CO2-dominated atmosphere is indicated by the green triangle.
Current usage metrics show cumulative count of Article Views (full-text article views including HTML views, PDF and ePub downloads, according to the available data) and Abstracts Views on Vision4Press platform.
Data correspond to usage on the plateform after 2015. The current usage metrics is available 48-96 hours after online publication and is updated daily on week days.
Initial download of the metrics may take a while.