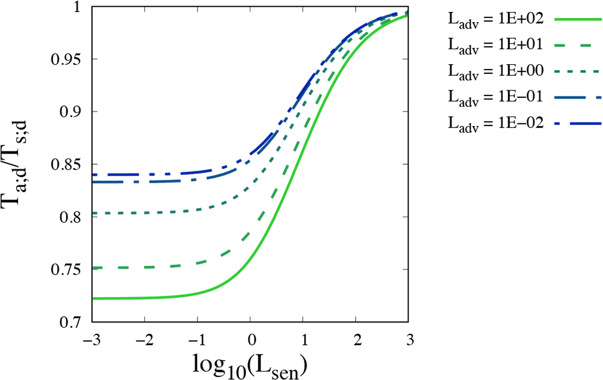
Fig. 8

Normalised temperature
as function of logarithm of parameter Lsen for various values of Ladv. The parameter Ladv, which controls advective heat transport by the stellar and anti-stellar circulation, varies in the range
(from dark blue to green). The atmosphere is quasi-transparent in the shortwave (τs;S =10−4), pure absorption is assumed (βL0 = βS0 = 1), As = 0.2, and F⋆ = 1366 W m−2, similarly as in Fig. 6. Here, the atmosphere is optically thin in the longwave: τs;L = 0.1, which corresponds to the middle panels of Fig. 6.
Current usage metrics show cumulative count of Article Views (full-text article views including HTML views, PDF and ePub downloads, according to the available data) and Abstracts Views on Vision4Press platform.
Data correspond to usage on the plateform after 2015. The current usage metrics is available 48-96 hours after online publication and is updated daily on week days.
Initial download of the metrics may take a while.