Free Access

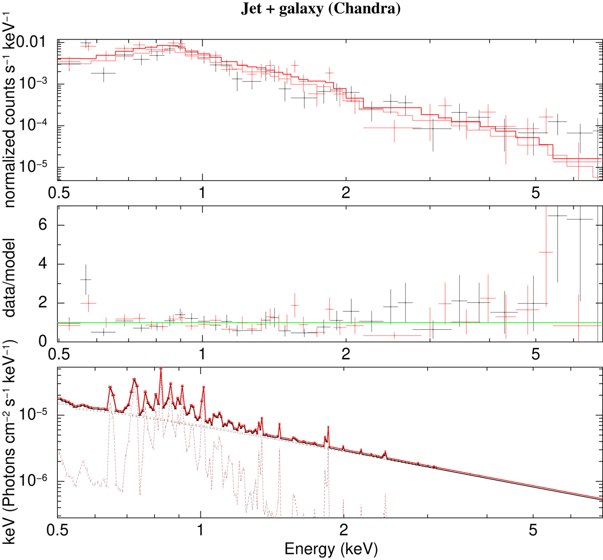
Fig. 3.

image

Chandra spectra of the extended emission from the galaxy plus jet fitted with the pow+ mekal model. The red and black spectra were extracted from the regions east and west of the nucleus, respectively (see Fig. 1). The spectra have been binned for visual purposes only (to have 4σ significance in each bin). Top panel: spectra with the best-fit model. Central panel: Ratio of data/model. Bottom panel: model components.

Current usage metrics show cumulative count of Article Views (full-text article views including HTML views, PDF and ePub downloads, according to the available data) and Abstracts Views on Vision4Press platform.

Data correspond to usage on the plateform after 2015. The current usage metrics is available 48-96 hours after online publication and is updated daily on week days.

Initial download of the metrics may take a while.