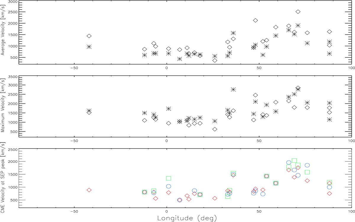
Fig. 6.

Scatter plots of average velocity, maximum velocity, and CME velocity at SEP peak flux vs longitude of the active regions associated with the respective CMEs. In the two upper panels, diamonds and stars show velocities for SOHO and STEREO, respectively. In the bottom panel, colors are assigned to the SEP peak flux in the energy channels: >10 MeV (red), >50 MeV (blue), and >100 MeV (green).
Current usage metrics show cumulative count of Article Views (full-text article views including HTML views, PDF and ePub downloads, according to the available data) and Abstracts Views on Vision4Press platform.
Data correspond to usage on the plateform after 2015. The current usage metrics is available 48-96 hours after online publication and is updated daily on week days.
Initial download of the metrics may take a while.