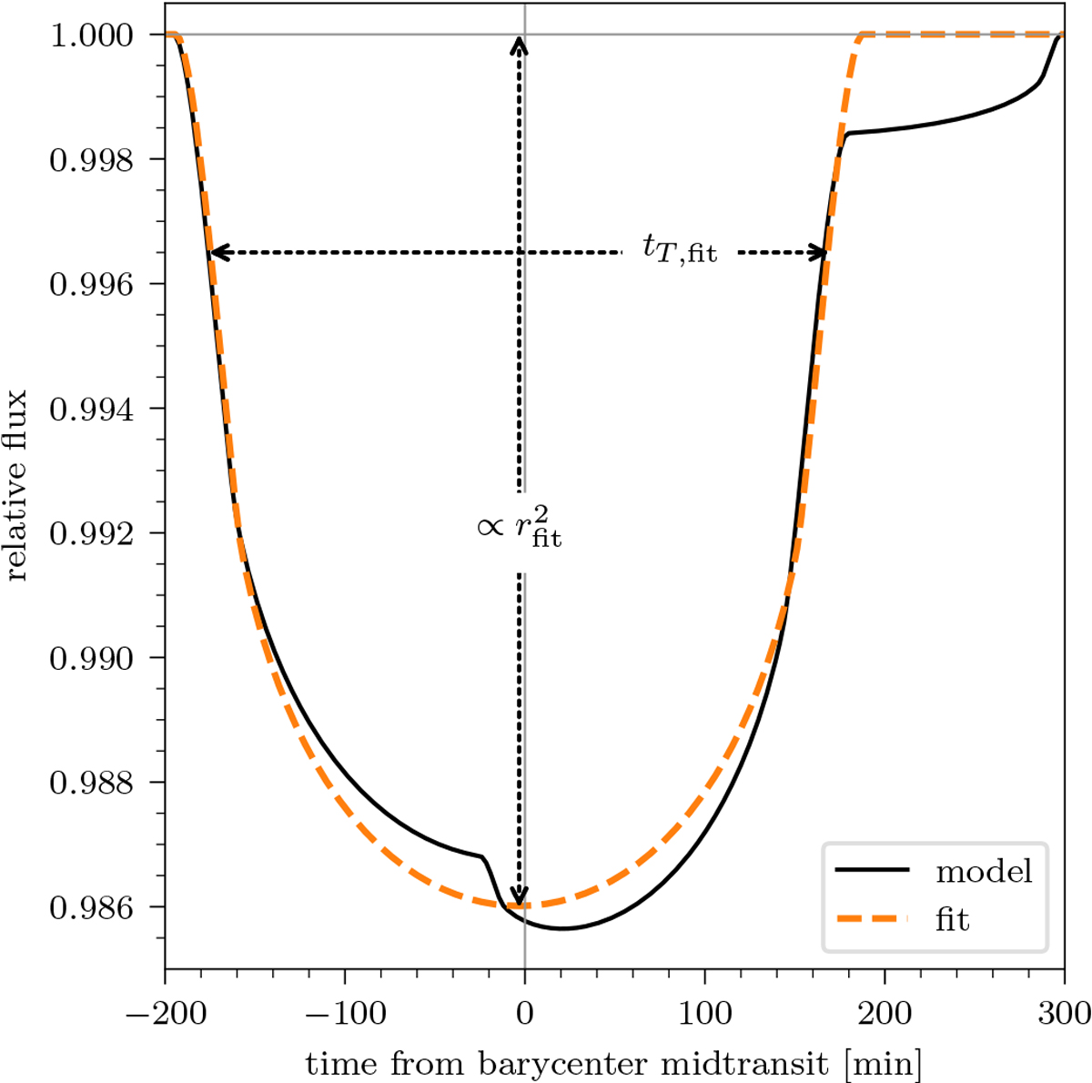
Fig. 1

Example of a planet-only fit (dashed orange line) to the planet–moon model (solid black line). The star is sun-like, the planet is Jupiter-sized and in a 30 d orbit around the star, and the moon is Neptune-sized and in a 3.55 d orbit around the planet. In this example, the fitted planet-to-star radius ratio (rfit), which goes into the calculation of the transit depth with a power of two, is slightly overestimated due to the photometric signature of the moon. As a comparison between the amplitude of the moon signal and the expected noise, the noise from the Poisson statistics of an mV = 8 star (using a 1 h binning) is 12.6 ppm for PLATO and 6.0 ppm for Kepler. This is two magnitudes smaller than the amplitude of the moon signature but possibly comparable to the effect of stellar noise, from activity for example.
Current usage metrics show cumulative count of Article Views (full-text article views including HTML views, PDF and ePub downloads, according to the available data) and Abstracts Views on Vision4Press platform.
Data correspond to usage on the plateform after 2015. The current usage metrics is available 48-96 hours after online publication and is updated daily on week days.
Initial download of the metrics may take a while.