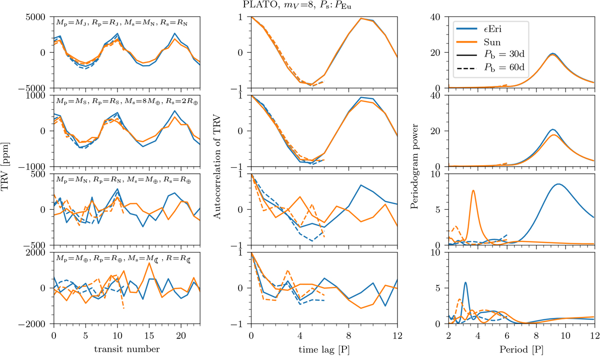
Fig. 6

Transit sequence of the transit radius variation (TRV, left), autocorrelation function of the TRV transit sequence (center), and periodogram of the autocorrelation (right) for various planet–moon configurations around an mV = 8 star asobserved with PLATO (see Sect. 3.3). Blue lines refer to an ɛ Eridani-like star, orange lines to a sun-like star. Subscripts “J”, “S”, “N”, “⊕”, and “☾ ” for the radii and masses refer to Jupiter, Saturn, Neptune, Earth, and the Moon, respectively. In the Jupiter–Neptune and Saturn/Super–Earth cases the TRV signal is clearly visible in the measured TRV time series. Consequently the signal is also visible in the autocorrelation. Due to only calculating the AC up toa time lag of have the observation length, a peak in the periodograms is only visible in the Pb = 30 d cases and not the Pb = 60 d cases. In the Neptune–Earth cases the signal in the TRV time series is barely visible, while the autocorrelation and periodogramfor the Pb = 30 d cases show a clear signal. There is no visible signal in any of the Earth–Moon cases for in the corresponding time series, autocorrelation, and periodogram.
Current usage metrics show cumulative count of Article Views (full-text article views including HTML views, PDF and ePub downloads, according to the available data) and Abstracts Views on Vision4Press platform.
Data correspond to usage on the plateform after 2015. The current usage metrics is available 48-96 hours after online publication and is updated daily on week days.
Initial download of the metrics may take a while.