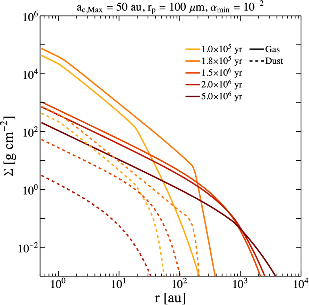
Fig. 1

Snapshots of gas (solid lines) and dust (dashed lines) surface densities of the reference case. In the evolution phase, the inner disc is drained of gas as it is accreted by the star and the outer disc expands as gas is transported outwards to conserve angular momentum. In the first ≈1.0 Myr the dust surface density mimics that of the gas in most of the disc out to radii of about 100 au. Beyond this radius, radial drift of dust is already rapid, draining the dust disc. When the disc is between 2 and 2.5 Myr old, the dust disc is completely drained.
Current usage metrics show cumulative count of Article Views (full-text article views including HTML views, PDF and ePub downloads, according to the available data) and Abstracts Views on Vision4Press platform.
Data correspond to usage on the plateform after 2015. The current usage metrics is available 48-96 hours after online publication and is updated daily on week days.
Initial download of the metrics may take a while.