Highlight
Open Access

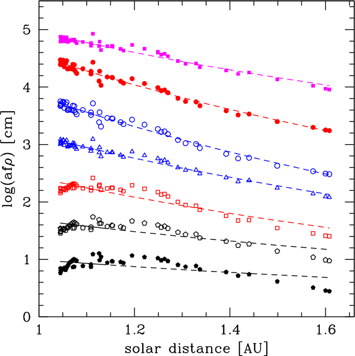
Fig. 6

image

Activity of 41P vs. solar distance. The plot shows the afρ parameter of the comet estimated from the SDSS r filter images through a 5000 km aperture. Different phase-correction models, represented by different colors, symbols, and offsets in log afρ, were applied to this data set: Rosetta (Moreno et al. (2018); filled magenta squares, offset +2.75); linear phase angle correction (filled red dots, offset +2.25); Bowell A (Bowell et al. (1989); open blue dots, offset +1.25); Bowell B (Bowell et al. (1989); open blue triangles, offset +1.0); Schleicher 2010 (Schleicher (2010); open black diamonds, offset +0.0); Mueller (Müller (1999); open red squares, offset +0.25); Schleicher 1998 (Schleicher et al. (1998); filled black diamonds, offset −0.75). The colored lines show the corresponding fits for the cometary activity. Corrections for flux contributions from coma gas and from the nucleus are also applied.

Current usage metrics show cumulative count of Article Views (full-text article views including HTML views, PDF and ePub downloads, according to the available data) and Abstracts Views on Vision4Press platform.

Data correspond to usage on the plateform after 2015. The current usage metrics is available 48-96 hours after online publication and is updated daily on week days.

Initial download of the metrics may take a while.