Free Access
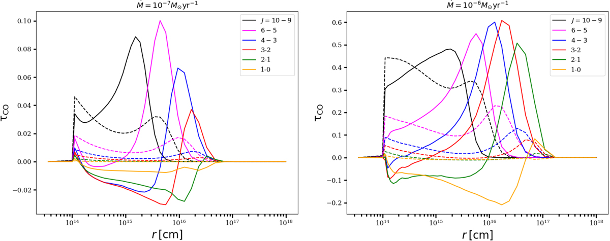
Fig. C.1

Tangential line optical depths of 12CO (solid lines) and scaled 13CO (by a factor of 50, dashed lines) for C-type CSEs with mass-loss rates 10−7 (left panel) and 10−6 (right panel)M⊙ yr−1.
Current usage metrics show cumulative count of Article Views (full-text article views including HTML views, PDF and ePub downloads, according to the available data) and Abstracts Views on Vision4Press platform.
Data correspond to usage on the plateform after 2015. The current usage metrics is available 48-96 hours after online publication and is updated daily on week days.
Initial download of the metrics may take a while.