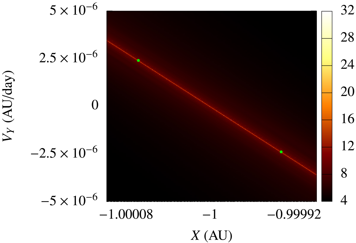
Fig. 6.

Representation of the modified FLI map associated to the bidimensional grid of initial data in the case in which L3 is the reference point and ; the colors indicate the values of the chaos indicator computed in the time-span of 1000 years. We note that the maximum values of mFLI are not in a line parallel to the X or VY axis. For this reason, if we want to have a good refinement of the two-dimensional grid, we need to isolate two points P0 = (X0, VY, 0), P1 = (X1, VY, 1) (green points) of the two-dimensional grid characterized by a high value of the modified FLI and then take points X and VY such that X = X0 + δ(X1 − X0)+ϵ(VY, 1 − VY, 0), VY = VY, 0 + δ(VY, 1 − VY, 0)−ϵ(X1 − X0) with δ ∈ [0, 1] and ϵ ∈ [ − Δϵ, Δϵ]: we used Δϵ equal to 2 × 10−5 for the refinement of the grid shown in this figure.
Current usage metrics show cumulative count of Article Views (full-text article views including HTML views, PDF and ePub downloads, according to the available data) and Abstracts Views on Vision4Press platform.
Data correspond to usage on the plateform after 2015. The current usage metrics is available 48-96 hours after online publication and is updated daily on week days.
Initial download of the metrics may take a while.