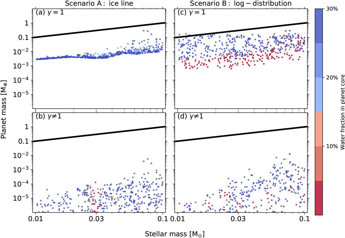
Fig. C.2

Monte Carlo sampling plot of the planet mass vs the stellar mass, with the ice line planet formation model (Scenario A) on the left, the log-uniform distributed planet formation model (Scenario B) on the right, the self-gravitating disks (γ = 1) at the top and the non-self-gravitating disks (γ ≠ 1) at the bottom. The initial disk conditions are followed by Eq. (5) of Manara et al. (2017). The color corresponds to the water mass fraction in the planetary core. The black line represents a constant planet-to-star mass ratio of 3 × 10−5 motivated by Pascucci et al. (2018). The planet growth is significantly suppressed compared to that shown in Fig. 7. Protoplanets cannot grow their masses in disks around brow dwarf disks of < 0.05 M⊙ due to very low disk masses.
Current usage metrics show cumulative count of Article Views (full-text article views including HTML views, PDF and ePub downloads, according to the available data) and Abstracts Views on Vision4Press platform.
Data correspond to usage on the plateform after 2015. The current usage metrics is available 48-96 hours after online publication and is updated daily on week days.
Initial download of the metrics may take a while.