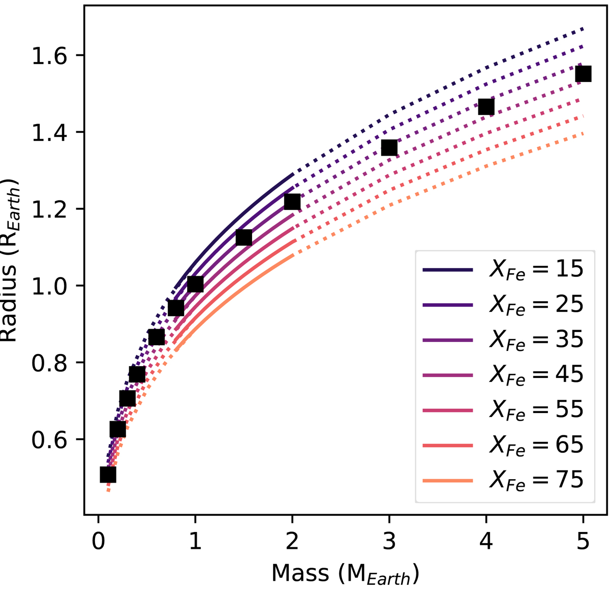
Fig. 10.

Mass-radius relationship as predicted by our scaling laws for variable iron contents but with a fixed mantle iron number of 0.1. Solid lines refer to the range of masses over which our parameterisations were derived (i.e. close to Earth pressures and temperatures, 0.8 to 2 Earth masses) and dotted lines refer to an extrapolation of our scaling laws beyond that range. Black boxes show, for comparison, the actual radius and mass values calculated with our interior structure model for an iron content of 0.35 and for masses from 0.1 to 5 Earth masses.
Current usage metrics show cumulative count of Article Views (full-text article views including HTML views, PDF and ePub downloads, according to the available data) and Abstracts Views on Vision4Press platform.
Data correspond to usage on the plateform after 2015. The current usage metrics is available 48-96 hours after online publication and is updated daily on week days.
Initial download of the metrics may take a while.