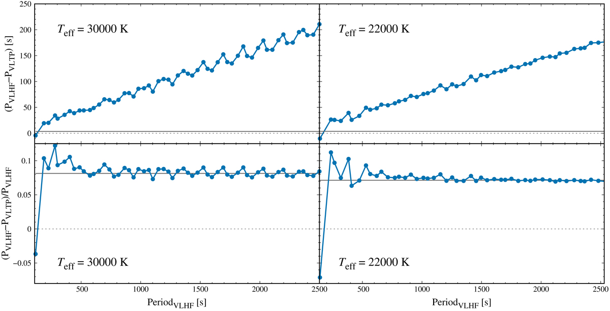
Fig. 5.

Difference between periods (blue lines) and asymptotic period spacings (horizontal full gray lines) of the VLHF and the VLTP models with the same radial order k versus the periods of the VLHF models for Teff = 30 000 K and 22 000 K (upper panels), and the same differences but relative to the periods of the VLHF models (lower panels).
Current usage metrics show cumulative count of Article Views (full-text article views including HTML views, PDF and ePub downloads, according to the available data) and Abstracts Views on Vision4Press platform.
Data correspond to usage on the plateform after 2015. The current usage metrics is available 48-96 hours after online publication and is updated daily on week days.
Initial download of the metrics may take a while.