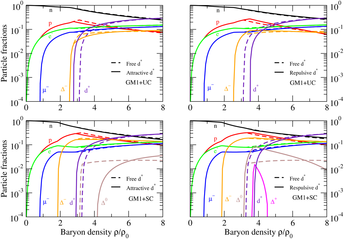
Fig. 4.

Particle fraction as a function of the baryon density in units of ρ0. The nucleonic part is described with the GM1 model. Results for the UC (SC) choice of parameters for the Δ–meson couplings are shown in the upper (lower) panels. Left and right panels: results for a case in which the d*(2380) feels attraction (xσd* = xωd* = 0.1) or repulsion (xσd* = xωd* = −0.1), respectively. Dashed lines show the results for the free case for comparison.
Current usage metrics show cumulative count of Article Views (full-text article views including HTML views, PDF and ePub downloads, according to the available data) and Abstracts Views on Vision4Press platform.
Data correspond to usage on the plateform after 2015. The current usage metrics is available 48-96 hours after online publication and is updated daily on week days.
Initial download of the metrics may take a while.