Free Access

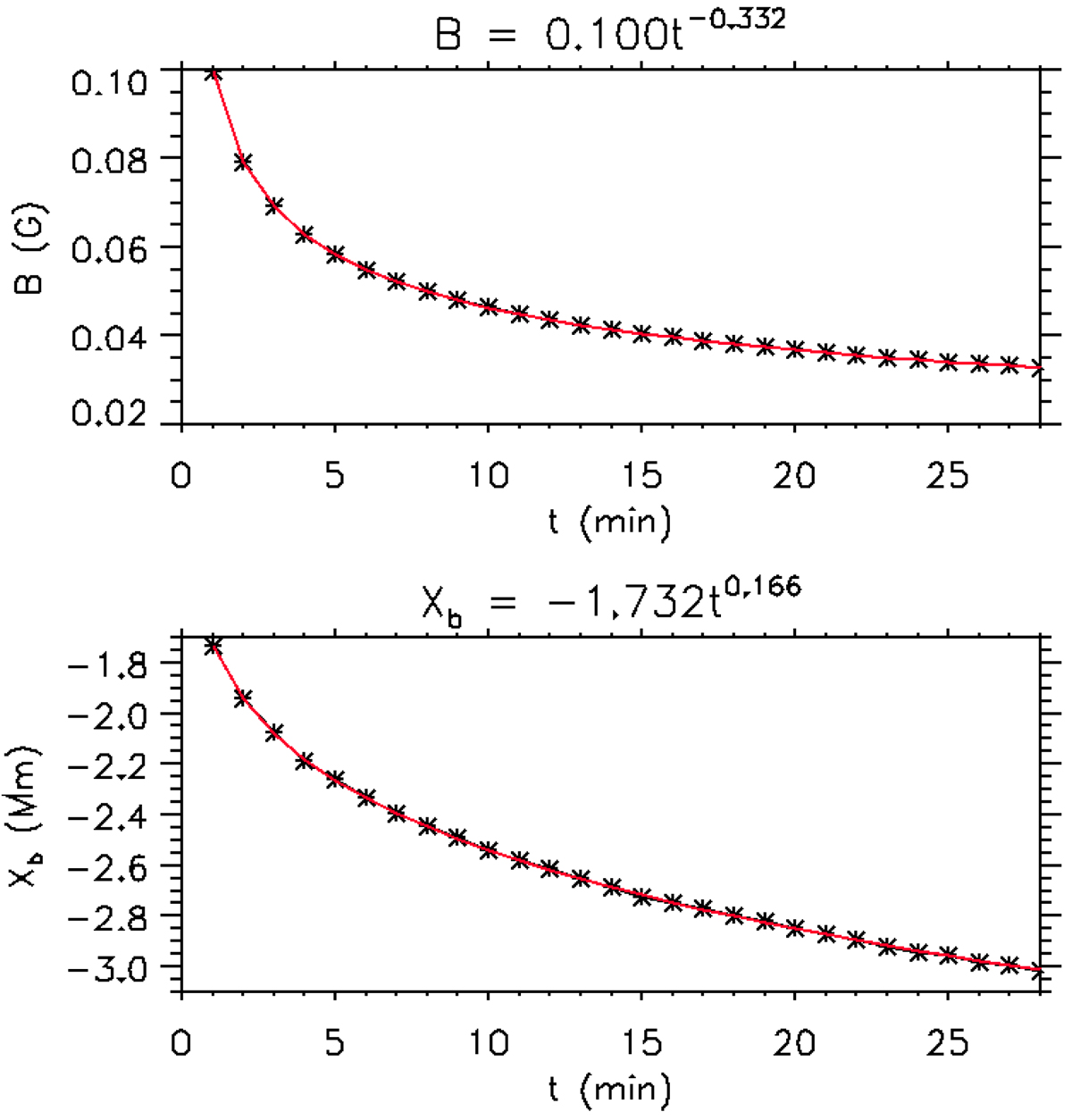
Fig. 7.

image

Results of the STS validation test for the self-similar solution. Top panel: evolution of the maximum of the magnetic field with time (black asterisks) and power-law fit (red line). Bottom panel: evolution of Xb with time (black asterisks) and power-law fit (red line). Above each panel is shown the resulting fit formula.

Current usage metrics show cumulative count of Article Views (full-text article views including HTML views, PDF and ePub downloads, according to the available data) and Abstracts Views on Vision4Press platform.

Data correspond to usage on the plateform after 2015. The current usage metrics is available 48-96 hours after online publication and is updated daily on week days.

Initial download of the metrics may take a while.