Open Access

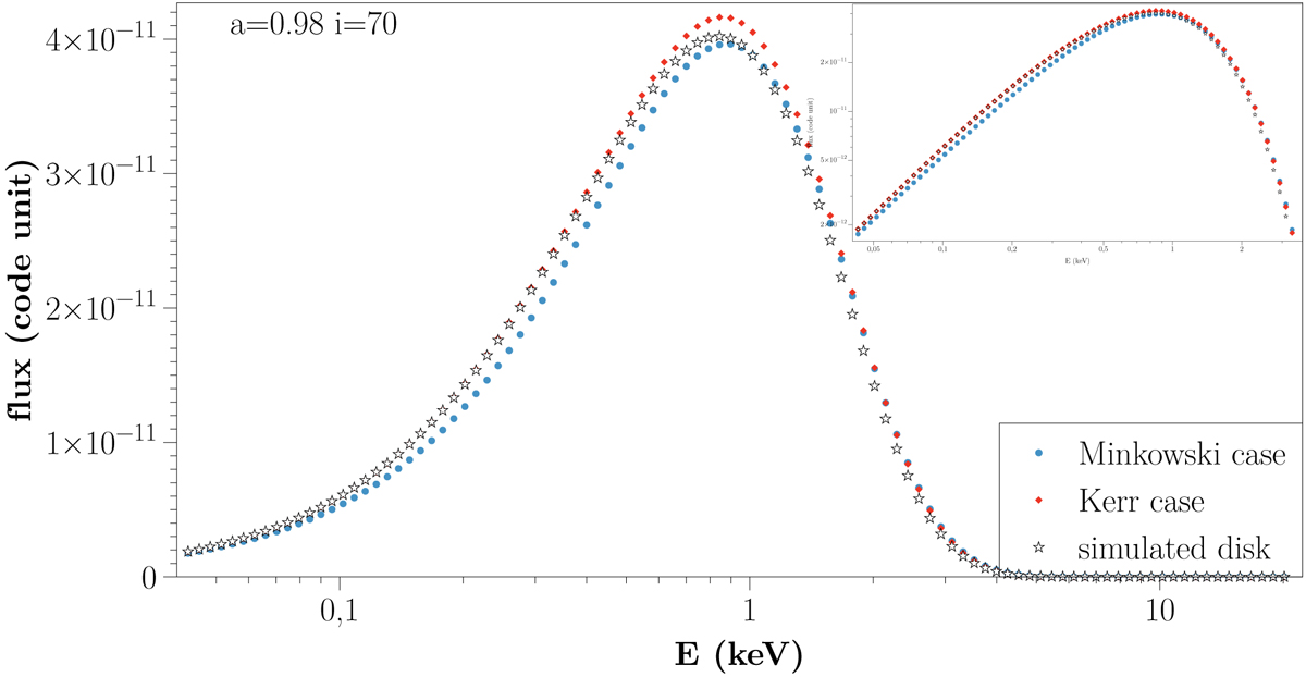
Fig. 6.

image

Comparison between the full GR simulated spectrum (stars) of the unperturbed, pre-RWI disc with the cases of a standard disc model with either a Minkowski ray-tracing (diskbb equivalent) or a general relativistic Kerr ray-tracing for a case where a = 0.98 with an inclination angle of 70°. The corner plot is the same plot in log-log.

Current usage metrics show cumulative count of Article Views (full-text article views including HTML views, PDF and ePub downloads, according to the available data) and Abstracts Views on Vision4Press platform.

Data correspond to usage on the plateform after 2015. The current usage metrics is available 48-96 hours after online publication and is updated daily on week days.

Initial download of the metrics may take a while.