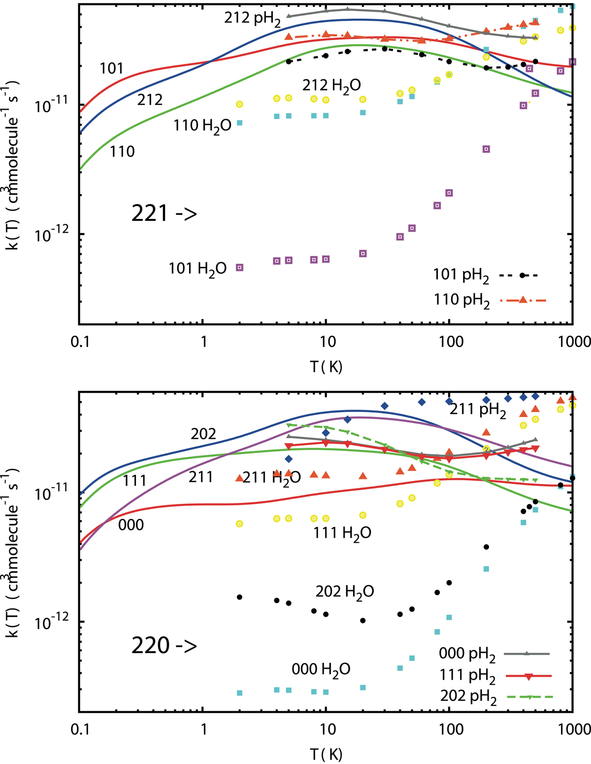
Fig. 5.

Rotational de-excitation rate coefficients of H2S by collision with He. The upper and lower panels show transitions issued from the 2 2 1 and 2 2 0 initial levels of water, respectively. The rates are compared with the corresponding rates for the H2S + para-H2 collisions (designated by pH2) and with those for H2O+He collisions (designated by H2O).
Current usage metrics show cumulative count of Article Views (full-text article views including HTML views, PDF and ePub downloads, according to the available data) and Abstracts Views on Vision4Press platform.
Data correspond to usage on the plateform after 2015. The current usage metrics is available 48-96 hours after online publication and is updated daily on week days.
Initial download of the metrics may take a while.