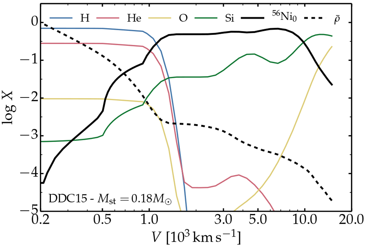
Fig. 1

Composition for a selection of elements and normalized density profile (dashed line) in the DDC15 model in which 0.18 M⊙ of H-rich stripped material has been introduced below 1000 km s−1. The x-axis is shown in logarithmic space to better reveal the innermost regions and the junction between the stripped material (i.e., rich in H and He) and the SN Ia ejecta (i.e., rich in Si and 56Ni).
Current usage metrics show cumulative count of Article Views (full-text article views including HTML views, PDF and ePub downloads, according to the available data) and Abstracts Views on Vision4Press platform.
Data correspond to usage on the plateform after 2015. The current usage metrics is available 48-96 hours after online publication and is updated daily on week days.
Initial download of the metrics may take a while.