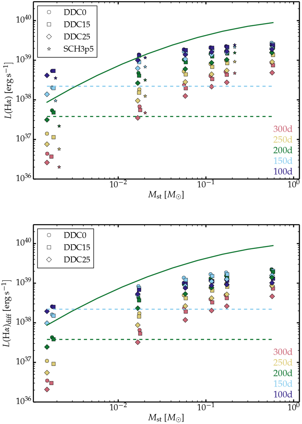
Fig. 12

Top: variation of the Hα luminosity as a function of the adopted stripped-material mass Mst for our set of Mch delayed-detonation simulations DDC0 (56Ni mass is 0.86 M⊙), DDC15 (56Ni mass is 0.51 M⊙), DDC25 (56Ni mass is 0.12 M⊙), and sub-Mch detonation model SCH3p5 (56Ni mass is 0.30 M⊙). The calculation is based on the H I spectrum computed by neglecting all other ions and thus ignores blanketing effects from the metal-rich ejecta. The color coding defines the SN age, from 100 to 300 d after explosion. The solid (green) curve corresponds to the calibration of Botyánszki et al. (2018) based on their model calculations (and corrected for the typo in their Eq. (1)). The dashed lines correspond to the observed Hα luminosity in ASASSN-18tb at ~153 d (Kollmeier et al. 2019; dashed line drawn in turquoise to match the color used for models computed at 150 d) and SN 2018cqj at ~207 d (Prieto et al. 2020; dashed line drawn in green to match the color used for models computed at 200 d), compatible with our models that have a stripped-material mass of about 0.002 M⊙. Bottom: same as top (with the omission of results for SCH3p5 models), but we compute the Hα luminosityas given by subtracting the model with no stripped material (i.e., the model with Mst = 10−5 M⊙) from the model with the stripped material. This yields a lower Hα luminosity by up to a factor of two at times prior to 200 d, but makes little difference later on (see Fig. 8 and discussion in Sect. 5).
Current usage metrics show cumulative count of Article Views (full-text article views including HTML views, PDF and ePub downloads, according to the available data) and Abstracts Views on Vision4Press platform.
Data correspond to usage on the plateform after 2015. The current usage metrics is available 48-96 hours after online publication and is updated daily on week days.
Initial download of the metrics may take a while.