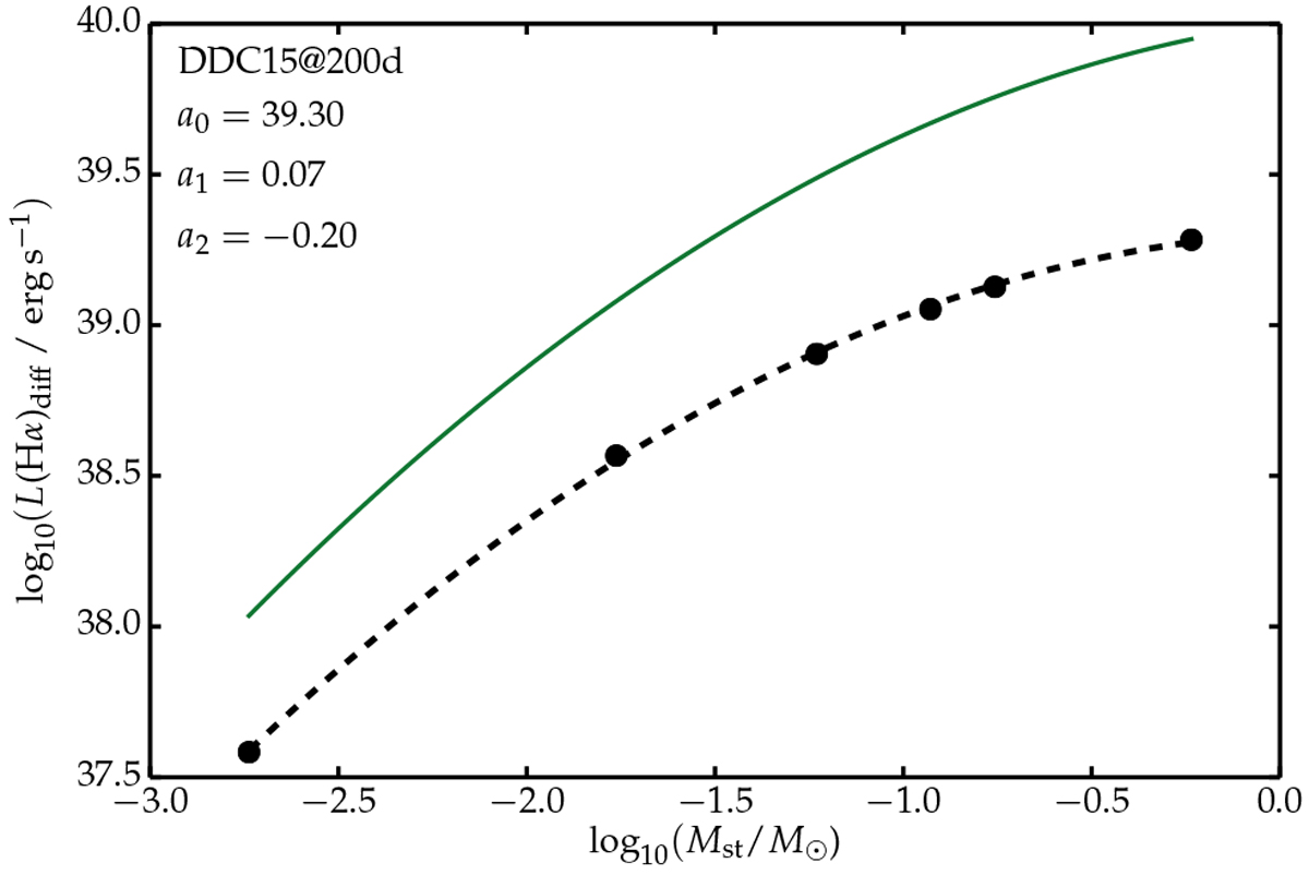
Fig. A.1

Illustration of the polynomial fit (black dashed line) to the distribution of Hα luminosity and Mst (filled dots) for the model DDC15 at 200 d, together with the correlation obtained by Botyánszki et al. (2018) for their models at 200 d. Their Eq. (1) should read Y = 40.0 + 0.17X − 0.2X2, with the nomenclature given in the caption of our Table A.1 above.
Current usage metrics show cumulative count of Article Views (full-text article views including HTML views, PDF and ePub downloads, according to the available data) and Abstracts Views on Vision4Press platform.
Data correspond to usage on the plateform after 2015. The current usage metrics is available 48-96 hours after online publication and is updated daily on week days.
Initial download of the metrics may take a while.