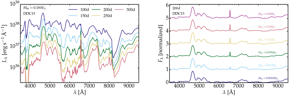
Fig. 2

Left: multiepoch spectra (at 100, 150, 200, 250, and 300 d after explosion) for the SN Ia model DDC15 with a stripped-material mass Mst of 0.18 M⊙. Right: same as left, but for the model DDC15 at 200 d and for a range of stripped material mass of 0.0018, 0.017, 0.059, 0.12, 0.18, and 0.58 M⊙. In a qualitative sense, time and Mst have a similar impact on the optical spectrum, with a strengthening of the Hα line relative to other spectral features with either time or Mst. Quantitatively, the correspondence does not hold since the bolometric luminosity changes significantly with time but only weakly with Mst at a given time.
Current usage metrics show cumulative count of Article Views (full-text article views including HTML views, PDF and ePub downloads, according to the available data) and Abstracts Views on Vision4Press platform.
Data correspond to usage on the plateform after 2015. The current usage metrics is available 48-96 hours after online publication and is updated daily on week days.
Initial download of the metrics may take a while.