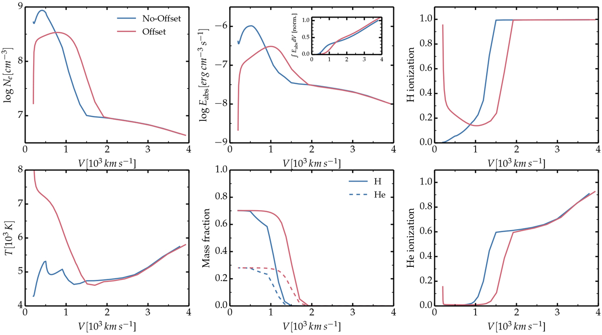
Fig. 9

Impact of the adopted density profile for the stripped material on the gas properties in model DDC15. This model has a Mst of about 0.15M⊙ (the value is 30% lower in the model with offset) and at a SN age of 200 d. The simulations are 1D (i.e., assume spherical symmetry), but the simulation “No-offset” uses a more centrally concentrated mass distribution than the simulation “Offset” (seethe electron-density profile, which reflects closely the difference in mass density profile). In the inset of the top-middle panel, the normalization of the cumulative decay power absorbed is set to the value obtained for the model with no offset (and limited to the velocity region shown).
Current usage metrics show cumulative count of Article Views (full-text article views including HTML views, PDF and ePub downloads, according to the available data) and Abstracts Views on Vision4Press platform.
Data correspond to usage on the plateform after 2015. The current usage metrics is available 48-96 hours after online publication and is updated daily on week days.
Initial download of the metrics may take a while.