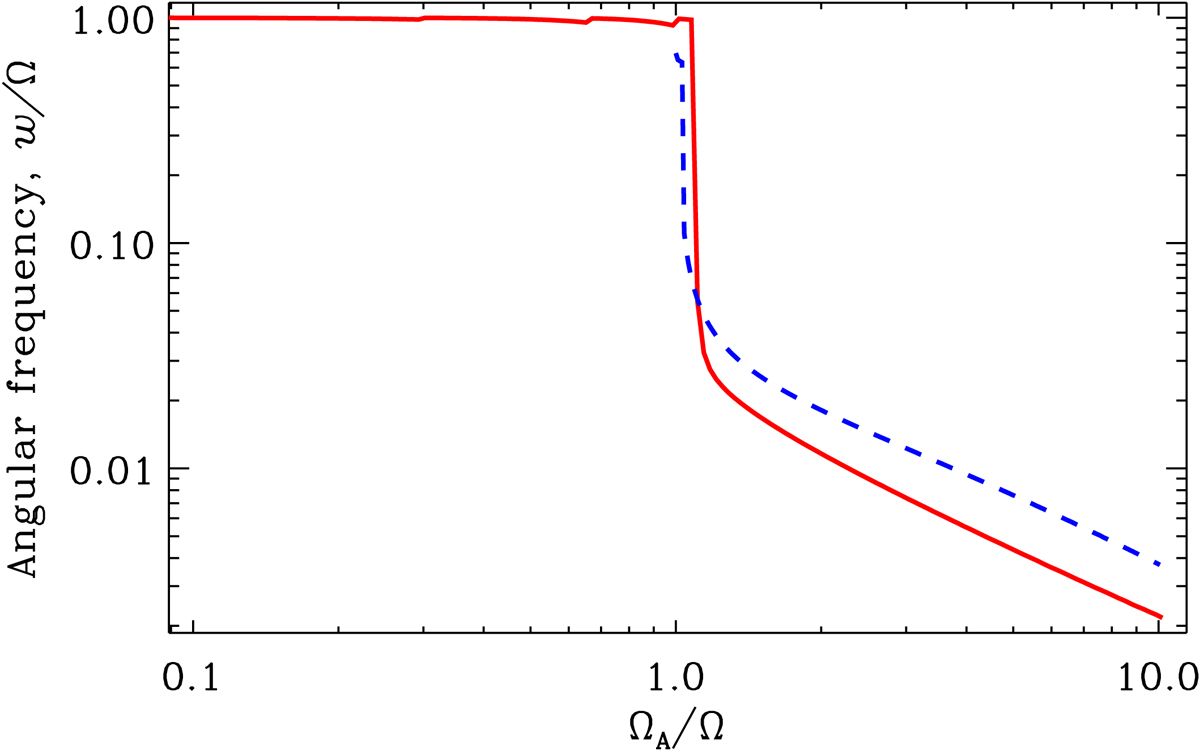
Fig. 3.

Drift rate of the most rapidly growing instability mode measured in units of the angular velocity of the star as a function of the normalised amplitude of the background field of Eq. (1). The dashed line corresponds to the diffusion parameters of Eq. (7) and the full line corresponds to the reduced thermal diffusion of ϵχ = 10−4.
Current usage metrics show cumulative count of Article Views (full-text article views including HTML views, PDF and ePub downloads, according to the available data) and Abstracts Views on Vision4Press platform.
Data correspond to usage on the plateform after 2015. The current usage metrics is available 48-96 hours after online publication and is updated daily on week days.
Initial download of the metrics may take a while.