Free Access
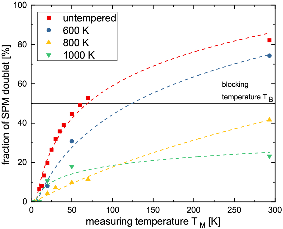
Fig. 9

Fraction of SPM Fe3O4 doublet area compared to the total Fe3O4 contribution for the untreated dust sample and three different heating temperatures TH. The dashed lines serve as a guide to the eye.
Current usage metrics show cumulative count of Article Views (full-text article views including HTML views, PDF and ePub downloads, according to the available data) and Abstracts Views on Vision4Press platform.
Data correspond to usage on the plateform after 2015. The current usage metrics is available 48-96 hours after online publication and is updated daily on week days.
Initial download of the metrics may take a while.