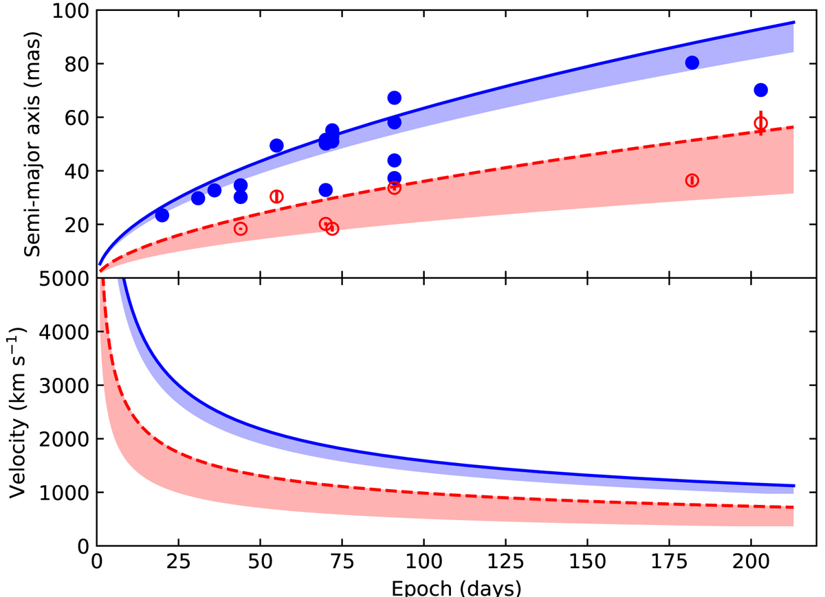
Fig. C.1.

Top panel: radial distance of VLBI components from the Gaia position referenced to the nova epoch. Filled blue and empty red dots indicate components in the SE and NW regions, respectively. The shaded regions show the best fit and uncertainty of a r ∝ tp fit to the trend. Bottom panel: linear velocity obtained by deriving the power-law motion, in blue and red for the two sides, respectively.
Current usage metrics show cumulative count of Article Views (full-text article views including HTML views, PDF and ePub downloads, according to the available data) and Abstracts Views on Vision4Press platform.
Data correspond to usage on the plateform after 2015. The current usage metrics is available 48-96 hours after online publication and is updated daily on week days.
Initial download of the metrics may take a while.