Free Access

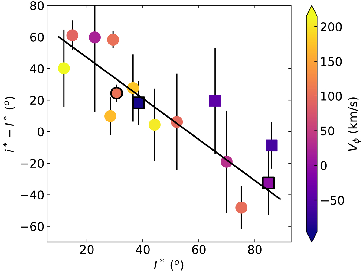
Fig. 2.

image

Relative inclination vs. orbital plane inclination for the globular clusters. Circles and squares refer to globular clusters moving around the Milky Way center or rotating in prograde and retrograde directions, respectively. Black-ringed symbols represent globular clusters with opposite direction of orbital and rotational motions. Individual error bars are indicated; those for I* are as large as the symbol sizes. The black line represents the fitted relationship (see text).

Current usage metrics show cumulative count of Article Views (full-text article views including HTML views, PDF and ePub downloads, according to the available data) and Abstracts Views on Vision4Press platform.

Data correspond to usage on the plateform after 2015. The current usage metrics is available 48-96 hours after online publication and is updated daily on week days.

Initial download of the metrics may take a while.