Free Access

Fig. 3.

image

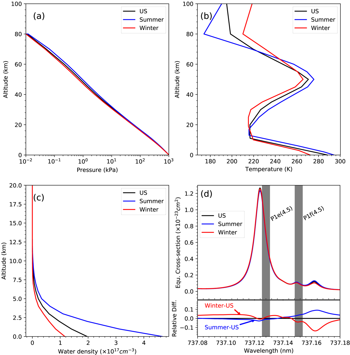
Atmospheric pressure (panel a), temperature (panel b), and water vapor density (panel c) profiles of the US standard atmosphere 1976 and MODTRAN mid-latitude summer and winter atmosphere models, and effective absorption cross sections of water vapor and relative differences among them (panel d).

Current usage metrics show cumulative count of Article Views (full-text article views including HTML views, PDF and ePub downloads, according to the available data) and Abstracts Views on Vision4Press platform.

Data correspond to usage on the plateform after 2015. The current usage metrics is available 48-96 hours after online publication and is updated daily on week days.

Initial download of the metrics may take a while.