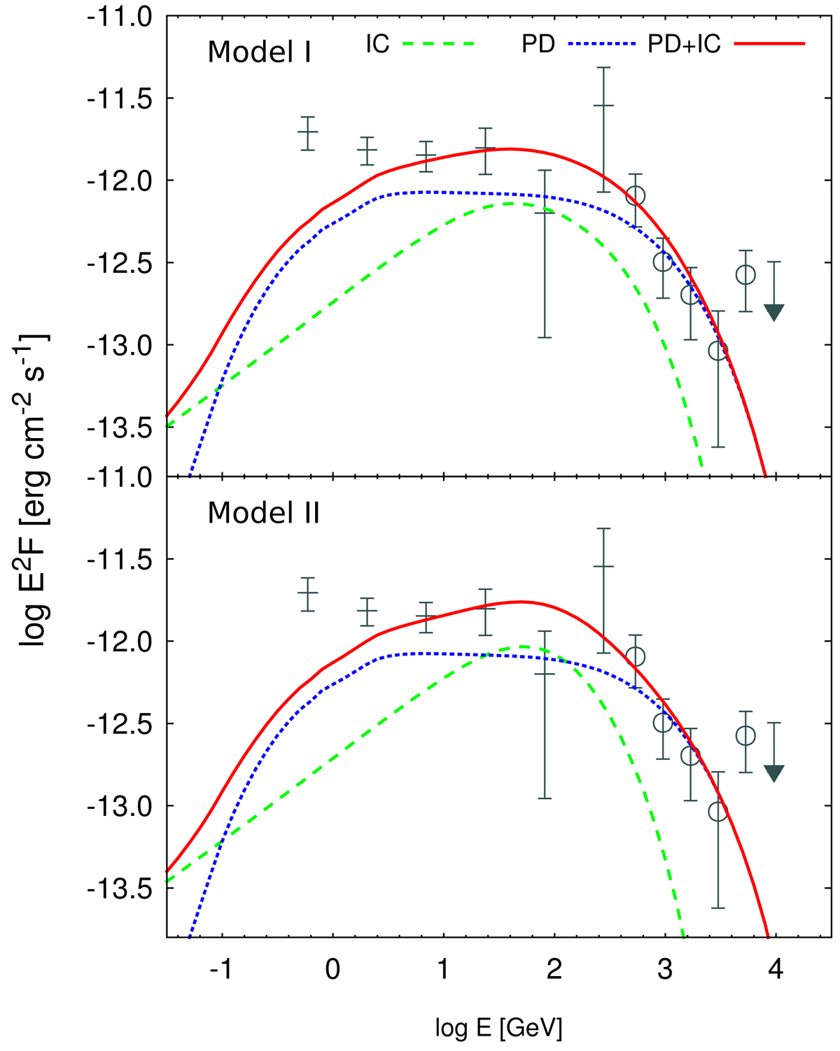
Fig. 8.

Calculated γ-ray emission from Tycho in comparison with measurements of Fermi-LAT (black solid) and VERITAS (black circles) from Archambault et al. (2017). The top panel is for Model I involving a moderate transported magnetic field and the bottom panel presents results for Model II, which includes damping of magnetic field.
Current usage metrics show cumulative count of Article Views (full-text article views including HTML views, PDF and ePub downloads, according to the available data) and Abstracts Views on Vision4Press platform.
Data correspond to usage on the plateform after 2015. The current usage metrics is available 48-96 hours after online publication and is updated daily on week days.
Initial download of the metrics may take a while.