Free Access

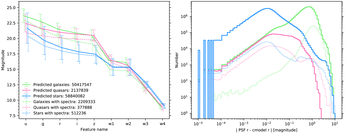
Fig. 16.

image

Left: average magnitude and one standard deviation error bar for each feature (waveband) for 111 million newly classified sources. Error bars and plot lines are offset in the x-axis for clarity. Right: histogram per class over a measure of how resolved the source is for the newly classified sources (solid line), and for our dataset of 3.1 million sources with spectra (dashed line).

Current usage metrics show cumulative count of Article Views (full-text article views including HTML views, PDF and ePub downloads, according to the available data) and Abstracts Views on Vision4Press platform.

Data correspond to usage on the plateform after 2015. The current usage metrics is available 48-96 hours after online publication and is updated daily on week days.

Initial download of the metrics may take a while.