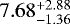
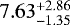
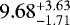
Table 2
Distance and extinction of 34 SNRs measured by VVV data.
| Name(a) | Other name | RA | Dec | Radius | RC ridge(b) | Reliability | drad (e) | dother (f) | ( |
Dust mass | ||||
|---|---|---|---|---|---|---|---|---|---|---|---|---|---|---|
| (deg) | (deg) | (deg) | (kpc) | (mag kpc−1) | (kpc) | (mag kpc−1) | (kpc) | (kpc) | (mag) | (M⊙) | ||||
| G3.8+0.3 | 268.23 | −25.47 | 0.15 | Normal | 4.14 ± 0.29 | 0.32 | 0 | 0 | A | 6.4 | 0.399 | |||
| G5.4-1.2a | Milne 56 | 270.54 | −24.90 | 0.29 | Normal | 3.89 ± 0.37 | 0.14 | 0 | 0 | A | >4.3 | 0.235 | ||
| G6.1+1.2 | 268.73 | −23.08 | 0.25 | Normal | 3.67 ± 0.36 | 0.12 | 0 | 0 | A | 6.7 | 0.197 | |||
| G6.4-0.1a | W28 | 270.13 | −23.43 | 0.40 | KDE | 3.55 ± 0.34 | 0.56 | 0 | 0 | A | 1.9 | 0.772 | ||
| G6.5-0.4 | 270.55 | −23.57 | 0.15 | Normal | 3.72 ± 0.21 | 0.70 | 0 | 0 | A | 4.1 | 0.578 | |||
| G8.7-0.1a | W30 | 271.38 | −21.43 | 0.38 | KDE | 4.15 ± 0.19 | 0.62 | 0 | 0 | B | 1.9 | 4.5∧ | 0.573 | |
| G8.9+0.4 | 270.99 | −21.05 | 0.20 | KDE | 3.51 ± 0.41 | 0.21 | 0 | 0 | A | 4.3 | 0.338 | |||
| G296.1-0.5 | 177.79 | −62.57 | 0.31 | KDE | 3.80 ± 0.50 | 0.09 | 0 | 0 | C | 3.0 ± 1.0 * | 0.195 | |||
| G301.4-1.0 | 189.48 | −63.82 | 0.31 | Normal | 2.74 ± 0.55 | 0.12 | 0 | 0 | A | 5.2 | 0.254 | |||
| G308.8-0.1 | 205.63 | −62.38 | 0.25 | Normal | 3.92 ± 0.60 | 0.28 | 0 | 0 | A | 0.885 | ||||
| G309.8+0.0 | 207.63 | −62.08 | 0.21 | Normal | 3.12 ± 0.22 | 0.38 | 5.61 ± 0.42 | 0.3 | A | 4 | 0.497 | |||
| G312.4-0.4a | 213.25 | −61.73 | 0.32 | Normal | 4.41 ± 0.50 | 0.25 | 0 | 0 | C | 2.4 | >6/>14/ |
0.600 | ||
| G315.4-0.3 | 218.98 | −60.60 | 0.20 | Normal | 3.31 ± 0.28 | 0.26 | 5.94 ± 0.36 | 0.25 | C | 0.351 | ||||
| G315.9+0.0 | 219.60 | −60.18 | 0.21 | KDE | 3.71 ± 0.18 | 0.61 | 0 | 0 | A | 8.2 | 0.517 | |||
| G316.3+0.0 | MSH 14-57 | 220.38 | −60.00 | 0.24 | Normal | 3.84 ± 0.30 | 0.55 | 0 | 0 | C | 4.1 | >7.2/7.2 ± 0.6 * | 0.810 | |
| G318.2+0.1 | 223.71 | −59.07 | 0.33 | KDE | 3.27 ± 0.44 | 0.45 | 0 | 0 | A | 0.870 | ||||
| G318.9+0.4 | 224.63 | −58.48 | 0.25 | Normal | 3.50 ± 0.32 | 0.28 | 0 | 0 | A | 0.401 | ||||
| G320.4-1.2 | MSH 15-52, RCW 89 | 228.63 | −59.13 | 0.29 | Normal | 3.00 ± 0.45 | 0.08 | 5.85 ± 0.22 | 0.05 | C | 5.2 | 0.185 | ||
| G320.6-1.6 | 229.46 | −59.27 | 0.50 | KDE | 3.18 ± 0.62 | 0.06 | 0 | 0 | C | 0.150 | ||||
| G321.9-0.3 | 230.17 | −57.57 | 0.26 | KDE | 5.46 ± 0.39 | 0.22 | 0 | 0 | A | 3.8 | 0.382 | |||
| G321.9-1.1 | 230.94 | −58.22 | 0.23 | Normal | 3.29 ± 0.75 | 0.09 | 0 | 0 | C | 0.276 | ||||
| G327.1-1.1 | 238.60 | −55.15 | 0.15 | Normal | 4.52 ± 0.84 | 0.09 | 0 | 0 | A | 0.310 | ||||
| G327.4+0.4 | Kes 27 | 237.08 | −53.82 | 0.18 | Normal | 2.81 ± 0.16 | 0.64 | 0 | 0 | A | 3.7 | 4.3–5.4 | 0.562 | |
| G329.7+0.4 | 240.33 | −52.30 | 0.33 | Normal | 2.80 ± 0.28 | 0.28 | 0 | 0 | A | 0.464 | ||||
| G335.2+0.1 | 246.94 | −48.78 | 0.18 | Normal | 3.91 ± 0.49 | 0.49 | 0 | 0 | C | 4.2 | 1.8* | 1.035 | ||
| G341.2+0.9 | 251.90 | −43.78 | 0.18 | KDE | 4.30 ± 0.43 | 0.28 | 0 | 0 | A | 0.544 | ||||
| G343.1-0.7 | 255.10 | −43.23 | 0.23 | KDE | 3.11 ± 0.22 | 0.86 | 0 | 0 | A | 4.5 | 0.835 | |||
| G347.3-0.5a | RX J1713.7-3946 | 258.46 | −39.75 | 0.54 | KDE | 4.56 ± 0.58 | 0.09 | 0 | 0 | B | 1.3†/6 ± 1 ∨ | 0.216 | ||
| G351.7+0.8 | 260.25 | −35.45 | 0.15 | Normal | 3.35 ± 0.11 | 0.64 | 0 | 0 | A | 5.4 | 13.2 ± 0.5 * | 0.323 | ||
| G353.6-0.7 | 263.00 | −34.73 | 0.25 | Normal | 3.49 ± 0.22 | 0.35 | 0 | 0 | A | 4.9 | 3.2+ | 0.388 | ||
| G355.4+0.7 | 262.83 | −32.43 | 0.21 | Normal | 4.16 ± 0.32 | 0.36 | 0 | 0 | A | 4.8 | 0.526 | |||
| G357.7+0.3a | 264.65 | −30.73 | 0.20 | KDE | 3.79 ± 0.21 | 0.66 | 0 | 0 | B | 4.2 | 0.702 | |||
| G359.0-0.9a | 266.71 | −30.27 | 0.19 | Normal | 3.29 ± 0.20 | 0.96 | 0 | 0 | A | 3.7 | 0.837 | |||
| G359.1-0.5a | 266.38 | −29.95 | 0.20 | Normal | 3.18 ± 0.32 | 0.81 | 0 | 0 | B | 4 | 8.5◃/4△ | 1.079 |
Notes. (a) The known SNR and molecular cloud associations are denoted by “a”. (b)The method for obtaining the RC ridge in CMDs: a kernel density estimation (KDE) or a normal parameter estimation (Normal). (c) Primary distance marked as “P”. (d) Secondary distance marked as “S”. (e) The radio-surface-brightness distances drad are from Pavlović et al. (2013). (f)The known distances dother are mainly kinematic distances from Green (2019b), where the symbol † describes the distance implied by the associated molecular clouds and X-ray observations, the symbol + describes the distance suggested by various observations. The symbol * denotes distances summarized in Stafford et al. (2019). The symbols ∧, ∨, ◃, △ denote distances from Hewitt & Yusef-Zadeh (2009), Slane et al. (1999), Vukotić et al. (2019), Suzuki et al. (2020), respectively.
Current usage metrics show cumulative count of Article Views (full-text article views including HTML views, PDF and ePub downloads, according to the available data) and Abstracts Views on Vision4Press platform.
Data correspond to usage on the plateform after 2015. The current usage metrics is available 48-96 hours after online publication and is updated daily on week days.
Initial download of the metrics may take a while.