Free Access
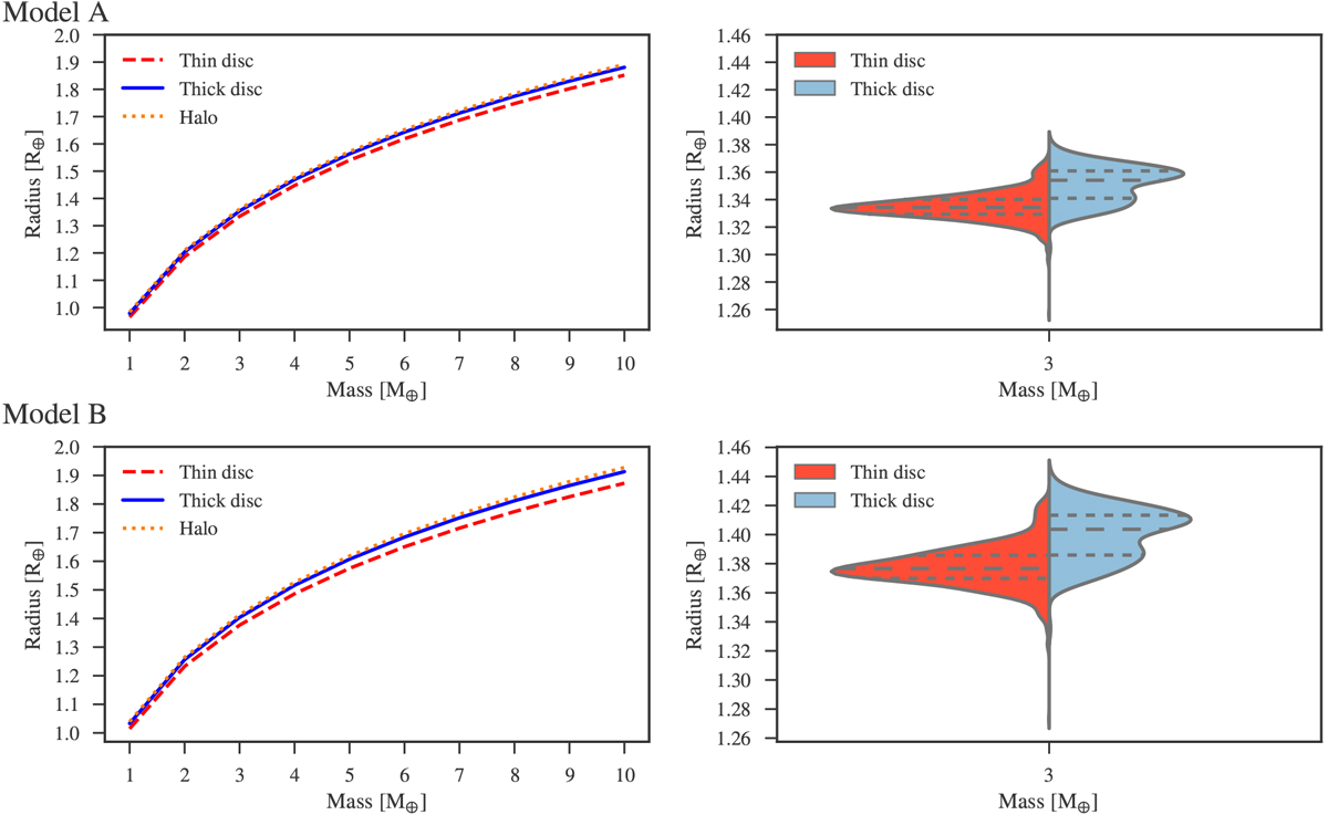
Fig. 2

At 0.1 AU, the expected M–R relationships of silicate-iron planets in different galactic stellar populations are in the left panels and violin plots demonstrating expected radii distributions at 3 M⊕ are in the right panels. Two top panels: results obtained using model A and two bottom panels: results from model B.
Current usage metrics show cumulative count of Article Views (full-text article views including HTML views, PDF and ePub downloads, according to the available data) and Abstracts Views on Vision4Press platform.
Data correspond to usage on the plateform after 2015. The current usage metrics is available 48-96 hours after online publication and is updated daily on week days.
Initial download of the metrics may take a while.