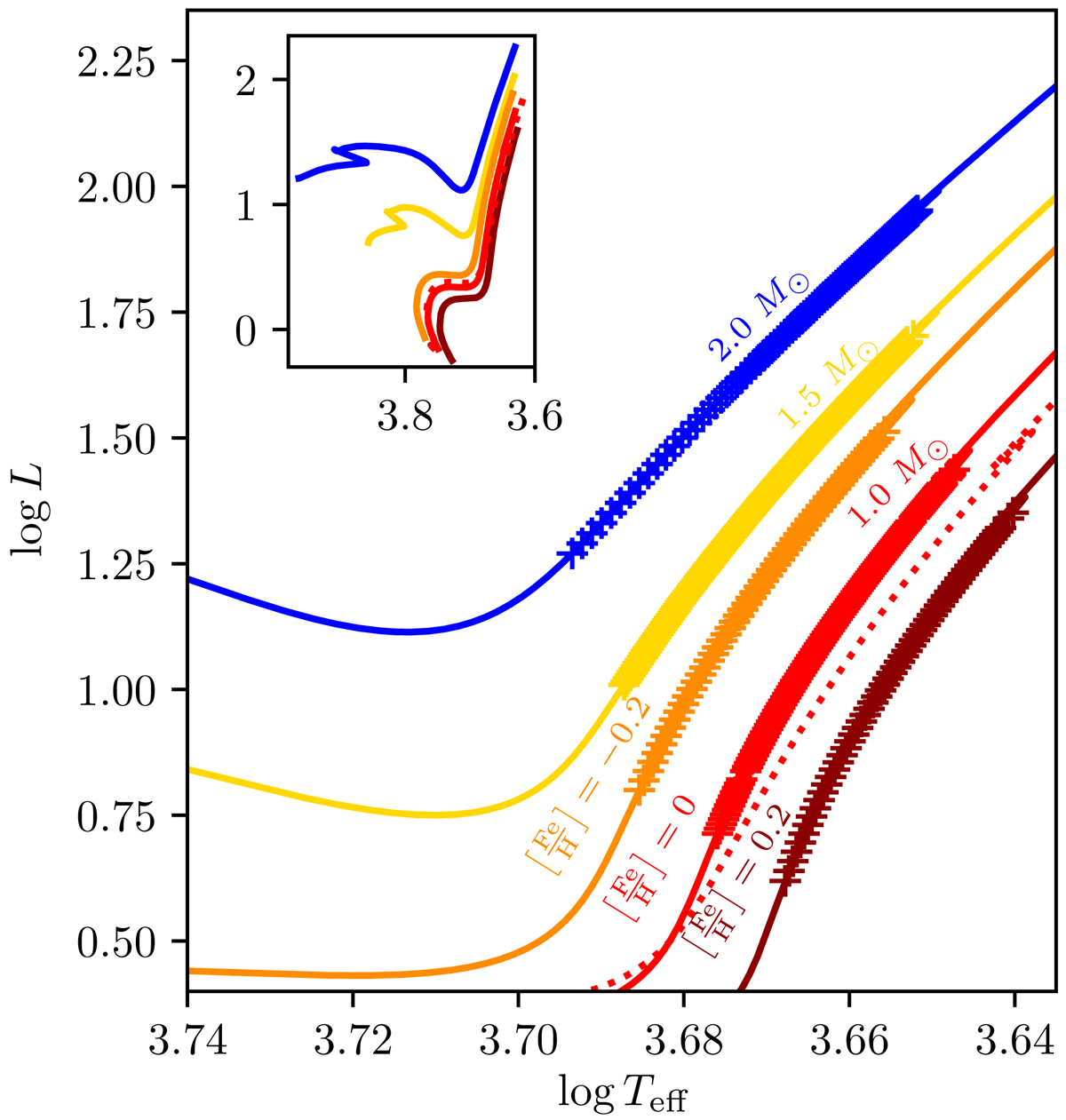
Fig. 1.

MESA evolutionary tracks for 1 (red), 1.5 (yellow), and 2 M⊙ (blue) models with solar metallicity are shown with solid lines in the respective colour. The evolutionary tracks for the 1 M⊙ models with metallicities of −0.2 and 0.2 are shown with solid lines in orange and dark red respectively. The red dotted line indicates the GARSTEC 1 M⊙ evolutionary track with solar metallicity. Models used for rotational inversions are marked with crosses in the respective colour. The inset shows the complete evolutionary tracks from the zero-age main sequence until beyond the bump in luminosity.
Current usage metrics show cumulative count of Article Views (full-text article views including HTML views, PDF and ePub downloads, according to the available data) and Abstracts Views on Vision4Press platform.
Data correspond to usage on the plateform after 2015. The current usage metrics is available 48-96 hours after online publication and is updated daily on week days.
Initial download of the metrics may take a while.