Open Access
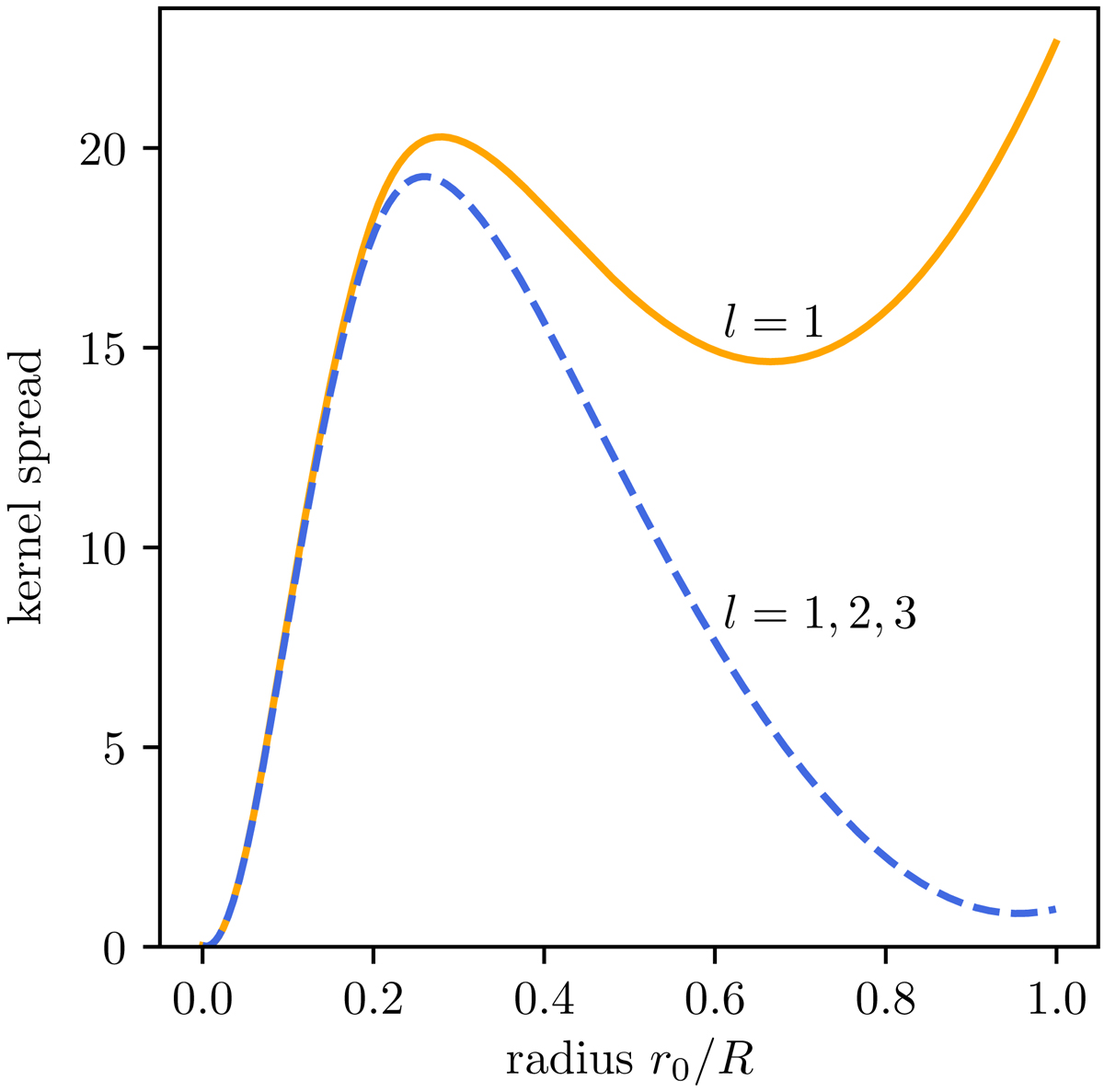
Fig. 8.

Dimensionless averaging-kernel spread (defined by the first part of Eq. (6)) as a function of target radius. The averaging kernel spread for rotationally split dipole modes (orange solid line) and modes with l ≤ 3 (blue dashed line) is shown.
Current usage metrics show cumulative count of Article Views (full-text article views including HTML views, PDF and ePub downloads, according to the available data) and Abstracts Views on Vision4Press platform.
Data correspond to usage on the plateform after 2015. The current usage metrics is available 48-96 hours after online publication and is updated daily on week days.
Initial download of the metrics may take a while.