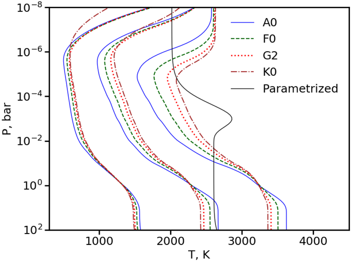
Fig. 1

Temperature profiles of a Jupiter size planet around three types of host stars (A0 – solid blue line, F0 – dashed green line, G2 – dotted red line, and K0 – dash-dotted brown line) calculated with HELIOS and grouped according to the equilibrium temperatures of 1000 K (left), 2000 K (middle), and 3000 K (right), respectively. The parameterized profile after Parmentier & Guillot (2014) with temperature inversion in upper atmospheric layers is shown with a full black line.
Current usage metrics show cumulative count of Article Views (full-text article views including HTML views, PDF and ePub downloads, according to the available data) and Abstracts Views on Vision4Press platform.
Data correspond to usage on the plateform after 2015. The current usage metrics is available 48-96 hours after online publication and is updated daily on week days.
Initial download of the metrics may take a while.